10.12804/revistas.urosario.edu.co/territorios/a.14358
Sección General
Ângela Maria Cavalcanti Ramalho 1
Gabriel Messias Santana Peixoto 2
Bruno Jandir Mello 3
Jose Irivaldo Alves Oliveira Silva 4
Cristiane Mansur de Moraes Souza 5
1 Universidade Estadual da Paraíba, Brasil.
angelamcramalho@gmail.com
0000-0002-8567-4367
2 Universidade Estadual da Paraíba, Brasil.
gabrielpeixoto200257@gmail.com.
0009-0003-8948-6122
3 Universidade Regional de Blumenauí Brasil.
brunomelloarq@gmail.com.
https://orcid.org/0000-0003-1652-6157
4 Universidade Federal de Campina Grande, Brasil.
irivaldo.cdsa@gmail.com.
0000-0002-0022-3090
5 UniversidadeEstadual da Paraíba, Brasil
ARQCmansur@gmail.com
https://orcid.org/0000-0002-4586-7471
Recebido: 8 de abril de 2024
Aprovado: 23 de abril de 2025
Para citar este artículo: Cavalcanti Ramalho, Â. M., Santana Peixoto, G. M., Jandir Mello, B., Oliveira Silva, J. I. A., & de Moraes Souza, C. M. (2025). Caracterização espacial como estratégia de desenvolvimento regional nas mesorregiões do estado da Paraíba. Territorios, (53), 1-27. https://doi.org/10.12804/revistas.urosario.edu.co/territorios/a.14358
RESUMO
Este artigo tem como objetivo analisar a caracterização espacial das estratégias de desenvolvimento das mesorregiões do Estado da Paraíba, a partir de variáveis sociais, econômicas e ambientais. A metodologia adotada foi exploratória e descritiva, com abordagem quantitativa, por meio da análise estatística de variáveis, utilizando softwares de programação computacional e de sistemas de informações geográficas. Constatou-se, com base na caracterização espacial do Estado, estruturada a partir das quatro mesorregiões, evidenciou padrões de dependência espacial em relação à capital, os quais impactam negativamente o processo de desenvolvimento regional diante dos amplos desafios enfrentados. De modo geral, os indicadores analisados se apresentaram muito aquém do ideal, o que reforça a necessidade de estratégias mais eficazes de desenvolvimento em nível regional. Assim, sugere-se a implementação de um conjunto de ações que abranjam diversas áreas.
Palavras-chave: Caracterização espacial; desenvolvimento regional; territórios.
RESUMEN
Este artículo tiene como objetivo analizar la caracterización espacial de las estrategias de desarrollo de las mesorregiones del estado de Paraíba, a partir de variables sociales, económicas y ambientales. La metodología de investigación fue exploratoria y descriptiva con enfoque cuantitativo, a través del análisis estadístico de variables, utilizando software de programación de computadoras y sistemas de información geográfica. A partir de la caracterización espacial del estado, estructurada con base en las cuatro mesorregiones, los patrones de dependencia espacial de la capital inciden negativamente en el proceso de desarrollo regional, ante los amplios desafíos existentes. En general, los indicadores analizados distan mucho de ser ideales, lo que refuerza la necesidad de estrategias de desarrollo más eficaces a escala regional. Por lo tanto, se recomienda implementar un conjunto de estrategias que aborden diversos ámbitos.
Palabras clave: Caracterización espacial; desarrollo regional; territorios.
ABSTRACT
This article aims to analyze the spatial characterization of the development strategies of the mesoregions of the state of Paraíba, based on social, economic, and environmental variables. The research methodology was exploratory and descriptive with a quantitative approach, through statistical analysis of variables, using computer programming software and geographic information systems. Based on the spatial characterization of the state, mirrored in the four mesoregions, the patterns of spatial dependence on the capital hurt the process of regional development, given the broad challenges of the phenomenon. Overall, the analyzed indicators are far from ideal, requiring better development strategies at the regional level. It is therefore suggested that a series of strategies needs to be implemented that address various areas.
Keywords: Spatial characterization; regional development; territories.
Discutir o fenômeno do desenvolvimento implica confrontar-se com uma vasta e diversificada literatura que aborda políticas e estratégias em um campo marcado por forte caráter normativo, especialmente no que se refere à atuação do Estado (Barquero, 1998; Boisier, 1996). Questões relevantes no campo teórico do desenvolvimento têm sido amplamente debatidas, estendendo as possibilidades de análise a partir de diferentes abordagens. Diante de sua complexidade, da avaliação de sua efetividade e da multiplicidade de iniciativas envolvidas, torna-se indispensável recorrer a diversos campos de estudos —como o planejamento urbano, a economia, as ciências sociais, entre outros.
Após dois séculos de industrialização, os modelos de "desenvolvimento" que priorizavam apenas o crescimento econômico resultaram em impactos socioambientais significativos em todo o planeta. Esses impactos incluem a desigualdade social, a devastação ambiental e dos recursos naturais, conhecidos como "bens comuns", a perda da identidade cultural local, as mudanças climáticas, entre outros. Em países ditos "subdesenvolvidos", como o Brasil, esses impactos são ainda mais severos (Ribeiro, 2010).
Devido à sua dependência econômica de setores vulneráveis, como commodities agrícolas ou minerais, sujeitos a flutuações nos preços internacionais, esses países tornam-se vulneráveis a crises econômicas (Furtado, 1980). Em geral, as populações desses países enfrentam maiores vulnerabilidades, incluindo a falta de acesso a serviços básicos como saúde, educação e saneamento. Além disso, muitas vezes, possuem estruturas econômicas e sociais altamente desiguais, em que uma pequena elite detém a maior parte da riqueza e do poder (Furtado, 1980). O Brasil ocupa atualmente o 84° lugar entre 189 países em relação ao Índice de Desenvolvimento Humano (IDH), de acordo com o Programa das Nações Unidas para o Desenvolvimento (PNUD, 2022). Segundo um estudo recente do Banco Mundial (2024), o Brasil se destaca negativamente ao ocupar a 8a pior colocação no ranking de desigualdade socioeconômica, medido pelo coeficiente Gini.
Os estados da Região Nordeste, por sua vez, apresentam diversos indicadores socioeconômicos mais baixos do país, refletindo desigualdades históricas persistentes. O caso do estado da Paraíba é emblemático, pois apresenta um conjunto de desafios sociais e econômicos. Com um Produto Interno Bruto (PIB) de USD$ 13 935 207 (x1000), ocupa o 19° lugar no ranking nacional e o 5° lugar na Região Nordeste, conforme dados do Instituto Brasileiro de Geografia e Estatística (IBGE, 2021). Em relação ao IDH, o estado se encontra na 21a posição nacional, com um índice de 0,691, considerado médio de acordo com o PNUD (2023). Destaca-se também a notável desigualdade na distribuição de renda, com a maior média do país, sendo que 50 % da população recebia renda média mensal de USD$ 63,14 (IBGE, 2022).
Segundo dados do Sistema Nacional de Informações sobre Saneamento (2021), a Paraíba ocupa a 20a posição entre as Unidades Federativas brasileiras no que se refere ao acesso à água encanada, com uma cobertura de apenas 76,99 %. No que diz respeito ao esgotamento sanitário, o estado figura na 11a colocação, com 40,02 % de cobertura nos serviços de coleta e tratamento de esgoto. Já em relação à coleta de lixo, a Paraíba está na 19a posição, com cobertura de 84,92 %. Por fim, no quesito drenagem de águas pluviais, o estado apresenta uma cobertura de 17,1 %, ocupando a 9a colocação entre os melhores desempenhos do país.
Nesse sentido, o problema de pesquisa está relacionado ao processo de desenvolvimento socioeconômico desigual e à limitada distribuição de recursos e serviços entre as mesorregiões do estado da Paraíba. Assim, uma abordagem estatística, com análise de indicadores sociais, econômicos e ambientais, pode contribuir não apenas para uma compreensão mais ampla do problema, mas também para a orientação de políticas públicas e ações voltadas ao aprimoramento e ao bem-estar da comunidade local, rumo a um desenvolvimento mais sustentável.
Este artigo objetiva analisar a caracterização espacial das estratégias de desenvolvimento das mesorregiões do estado da Paraíba, a partir da análise de variáveis sociais, econômicas e ambientais. A estrutura do artigo contempla a revisão da literatura, que fornece elementos teórico-metodológicos, caracterização da área de estudos, materiais e métodos, resultados e discussão, e considerações finais. O estudo busca contribuir para a compreensão sobre o tema do desenvolvimento para a definição de estratégias adaptadas às mesorregiões do estado da Paraíba.
Revisão da literatura
A noção de desenvolvimento tornou-se tema frequente em debates políticos e acadêmicos após a Segunda Guerra Mundial, embora suas origens remontem a períodos mais distantes. Durante o período entre a Revolução Industrial em 1780 e a Revolução de 1848, a acumulação de capital e o crescimento da riqueza eram fundamentos da corrente de pensamento da Escola Clássica da Economia Política (Theis, 2022). Essas mudanças trouxeram avanços significativos, porém também carregaram consigo grandes problemas decorrentes da falta de conscientização sobre a necessidade de um crescimento ecologicamente sustentável e socialmente igualitário (Santos, 2017).
No século XIX, entre a Revolução de 1848 e a Comuna de Paris em 1871, a corrente de pensamento predominante era a busca pela acumulação de capital e pela reprodução ampliada, ideias amplamente criticadas pela economia política de Karl Marx e Friedrich Engels. Da Comuna de Paris (1871) até a quebra da Bolsa de Nova York em 1929, a Escola Neoclássica da Economia prevalecia, "com ênfase no conceito de equilíbrio geral e crescimento da riqueza" (Theis, 2022, p. 5).
Após a criação da Organização das Nações Unidas (ONU) em 1948 e o discurso de H. S. Truman em 1949, o conceito de desenvolvimento econômico começou a ser aplicado por meio da Teoria da Modernização de Rostow (Schumpeter, 1982; Lima, 2018; Theis, 2022). Entretanto, até 1970, o conceito dominante ainda era o de crescimento econômico, originário da Escola Keynesiana da Economia, que enfatizava políticas para estimular o crescimento da economia e o pleno emprego (Missio, 2017).
Em 1968, foi criado o Clube de Roma, um dos primeiros grupos de cientistas que discutiram as questões ligadas ao meio ambiente e ao desenvolvimento. O grupo foi responsável pela publicação do relatório intitulado Os limites do crescimento, em 1972. Após a publicação desse relatório, "se intensificaram as manifestações ecológicas e questionamentos relacionados aos impactos das atividades humanas sobre a natureza e sua interface com os aspectos econômicos e sociais" (Lima & Roncaglio, 2001, p. 54). Ainda em 1972, ocorre uma das mais emblemáticas conferências sobre o meio ambiente, a Conferência das Nações Unidas para o Meio Ambiente Humano, em Estocolmo, na Suécia. A conferência levou à elaboração do Programa das Nações Unidas para o Meio Ambiente. Nesse cenário, Ignacy Sachs desenvolveu o conceito de ecodesenvolvimento (Sachs, 1986; 1993). O ecodesenvolvimento, para Sachs (2007, p. 25), contempla cinco paradigmas principais e considera a multidimensionalidade entre questões ambientais, econômicas, sociais culturais e territoriais.
Em 1979, a questão ambiental entra em pauta global novamente com a publicação do O princípio responsabilidade, do filósofo Hans Jonas. Em 1983, foi criada a Comissão sobre Meio Ambiente e Desenvolvimento (WCED, em inglês) e, em 1984, constituída como um corpo independente pela Assembleia Geral da ONU. Posteriormente, o Relatório Brundtland, documento intitulado Nosso futuro comum, que foi elaborado pela WCED em 1987, fez parte de uma série de iniciativas que reafirmam uma visão crítica do modelo de desenvolvimento adotado pelos países industrializados (Comissão Mundial sobre Meio Ambiente e Desenvolvimento, 1988).
É nos debates de Brundtland que conceito de desenvolvimento sustentável é cunhado. O desenvolvimento sustentável se propõe a ser uma consequência do desenvolvimento social, econômico e da preservação ambiental, bem como visa a elementos como justiça socioambiental, inclusão social, eco eficiência e preservação do meio ambiente. Além disso, a difusão da expressão "desenvolvimento sustentável" favoreceu a consolidação de um ponto de vista diametralmente oposto, por meio de um "jogo de linguagem" (Gebauer et al., 2013), ajustado às necessidades de expansão e consolidação do ideário neoliberal típico dos anos 1990 (Vieira, 2016). Apesar das críticas, esse conceito torna-se um consenso global em 1992, na emblemática Cúpula da Terra, que ficou conhecida como Rio-92 (Mendes, 2015).
Um dos principais resultados da Rio-92 foi a implementação da Agenda 21 Global, que estabelece os objetivos a serem atingidos pelas sociedades para avançar em direção à sustentabilidade: promoção de parcerias e conscientização; comprometimento com soluções em nível global; definição de prioridades; e desenvolvimento de projetos que integrem as dimensões social, ambiental e econômica (Acserald & Bezerra, 2006). A Agenda foi elaborada de forma consensual, com a participação de governos e instituições da sociedade civil de 179 países.
No ano de 2002, ocorre, em Johannesburgo, na África do Sul, a Rio+10, centrada no desenvolvimento sustentável. O objetivo da Rio+10 era a adoção de um plano de ação sobre diversos temas —a pobreza e a miséria, o consumo, os recursos naturais e sua gestão, a globalização, o cumprimento dos direitos humanos etc. (Sequinel, 2002). Em 2012, aconteceu novamente no Rio de Janeiro a Rio+20. A reunião abriu espaço para um tema ainda pouco discutido: a governança em um cenário de desenvolvimento sustentável. Essa conferência se notabilizou por estabelecer os 17 Objetivos de Desenvolvimento Sustentável (ODS). Os ODS fazem parte da Agenda 2030 para o Desenvolvimento Sustentável (ONU, 2020).
A Agenda 2030 representa um compromisso para orientar o mundo em direção à sustentabilidade, com foco especial naqueles em situação de maior vulnerabilidade (ONU, 2018). Além disso, parte da premissa de que uma mudança de paradigma de desenvolvimento requer estratégias interdisciplinares, transversais e em múltiplas escalas políticas e territoriais. Brandão (2010) assinala que o campo disciplinar, isoladamente, é minimamente capaz de dar conta da riqueza de determinações envolvidas, considerando a complexidade do processo do desenvolvimento em diferentes contextos territoriais.
Em relação ao estudo do desenvolvimento regional, parte-se do pressuposto de que o desenvolvimento e a região estão analiticamente ligados por relações de influência mútua (tempo e espaço). O desenvolvimento e a região são inseparáveis dos contextos transacionais e totalmente interdependente (Becker, 2000; Boisier, 2000). Assim, cada região apresenta características que estão interligadas à sociedade e ao meio ambiente. Ou seja, "desenvolvimento e região é uma construção coletiva, ao mesmo tempo simbólica e material, que associa o mundo social ao mundo natural em função de valores predominantes" (Mattedi, 2014, p. 68).
Segundo Inácio et al. (2013), as contribuições de Sachs (2004), a respeito do envolvimento de ações de âmbito regional para o desenvolvimento sustentável, evidenciam um processo que está associado a dois fatores: 1) a valorização das potencialidades de cada localidade; e 2) o respeito da gestão compartilhada de territórios, promulgada pela aprendizagem social. O primeiro fator indica que as alternativas regionais do desenvolvimento, observando-se as características locais de cada comunidade, município e/ ou região, são fatores fundamentais para pensar o desenvolvimento com uma visão descentralizada, como aparece no desenvolvimento regional (Silva et al., 2014). O segundo pressupõe que cada contexto social estabelece uma forma específica de relacionar, simbólica e materialmente (Mattedi, 2014).
Para abordar o desenvolvimento regional, é necessário conceituar região. O conceito está vinculado à "relação entre a centralização do poder em um local e a extensão dele sobre uma área de grande diversidade social, cultural e espacial" (Gomes, 1995, p. 46). Existem diversas formas de se delimitar uma área ou um território: a política (governo); a natureza (bacias hidrográficas, rios, montanhas, mares etc.); a cultura (idiomas, tradições, culinária); a economia (zonas industriais, extrativismos, serviços, turismo); a infraestrutura (tipo de construções, estradas); o social (assentamentos urbanos, favelas e comunidades urbanos etc.) (Mattedi, 2014).
Nota-se que, neste estudo, se consideram as regiões geográficas conhecidas como as mesorregiões da Paraíba, que, apesar de extintas pelo IBGE no ano de 2017, ainda são amplamente utilizadas em estudos, pois apresentam um agrupamento de municípios com características sociais, econômicas e ambientais semelhantes. As mesorregiões foram substituídas pelas regiões geográficas intermediárias e imediatas (IBGE, 2017).
Ao analisar grandes regiões, recorre-se aos índices e indicadores. Os indicadores podem comunicar ou informar acerca do progresso em direção a uma determinada meta, mas também podem ser entendidos como um recurso que deixa mais perceptível uma tendência ou fenómeno que não seja imediatamente detectável (Hammond et al., 1995; Bellen, 2002). O objetivo principal dos indicadores é o de agregar e quantificar informações de uma maneira que sua significância fique mais aparente e simplificam as informações sobre fenômenos complexos, podendo ser quantitativos ou qualitativos (Bellen, 2002).
Meadows (1998) afirma que a utilização de indicadores é uma maneira intuitiva de monitorar sistemas complexos que a sociedade considera importantes e que demandam controle. Os índices, por sua vez, são indicadores que condensam informações por meio da agregação de dados. No nível mais elevado de tomada de decisão, esses índices são necessários, uma vez que facilitam a compreensão e o uso de informações no processo decisório (Bellen, 2002).
No processo de desenvolvimento de um índice, os diferentes indicadores que fazem parte dele devem ser ponderados. Quando se consideram aspectos ambientais e sociais, essa monetarização ou ponderação não é muito simples. No entanto, a crescente utilização de indicadores mostra que estes são ferramentas importantes para a tomada de decisão e para uma melhor compreensão e monitoramento das tendências; portanto, são úteis na identificação dos dados mais relevantes e no estabelecimento de sistemas conceituais para a compilação e análise de dados. Um dos principais benefícios dos índices é criar padrões que sirvam de referência para medir o progresso da sociedade em direção ao que se convencionou chamar de um futuro sustentável (Moldan & Billharz, 1997).
O desenvolvimento do estado da Paraíba
O recorte de estudo abrange o estado da Paraíba (figura 1), que está localizado na Região Nordeste do Brasil, com uma população de 3 974 495 habitantes e uma área de 56.467,242 km2 (IBGE, 2022). São consideradas as quatro mesorregiões paraibanas: Agreste Paraibano, Borborema, Mata Paraibana e Sertão Paraibano. A capital, João Pessoa, situa-se no litoral do estado, pertencente à mesorregião da Mata Paraibana.
Figura 1. Mesorregiões do estado da Paraíba
Fonte: com base em dados do ibge (2021).
A história paraibana é semelhante à do Nordeste em geral, com sua evolução econômica e social estruturada no seu território, que vai do litoral ao interior, definindo sua distribuição populacional e produtiva atual em torno de seus 223 municípios (Mendes et al., 2012). Durante o ciclo da cana-de-açúcar, os primeiros engenhos foram instalados na capitania de Itamaracá, que atualmente abrange parte do território paraibano, no ano de 1516. Simultaneamente, o ciclo do pau-brasil perdurou até a década de 1530, quando os recursos dessa madeira foram esgotados no estado (Agostini et al., 2013). Até o século xviii, a Paraíba, assim como grande parte do Nordeste brasileiro, concentrou-se na produção de cana-de-açúcar, sendo essa atividade econômica a principal base da economia local.
Décadas mais tarde, a região enfrentou o período conhecido como a "Grande Seca", que teve início em 1877 e durou pouco mais de dois anos. Os efeitos foram catastróficos, impulsionando um êxodo em massa para o Sul e Sudeste do país (Barreto, 2009). Durante o ciclo da borracha na Amazônia, ocorrido no final do século xix, a Paraíba começou a experimentar uma de suas características mais marcantes: uma área de repulsão populacional (Antônio Filho, 2013). Até a primeira metade do século xx, a agricultura monocultora e a pecuária extensiva ainda dominavam como as principais atividades econômicas da região, conforme documentado por Mendes (2012).
Contudo, o processo de industrialização no Sudeste e no Sul do país desencadeou uma migração maciça de nordestinos em busca de oportunidades de emprego nas emergentes indústrias e no comércio das cidades (Maricato, 2000; Antônio Filho, 2013).
Em 1959, por meio da Lei 3.692, foi criada a Superintendência do Desenvolvimento do Nordeste, uma iniciativa do governo federal voltada ao desenvolvimento econômico e social da região, com o objetivo de minimizar o impacto das migrações. Para isso, foram realizados levantamentos destinados à elaboração de projetos de irrigação, capacitação agrícola e implantação de projetos industriais (Brasil, 1959). Nas décadas seguintes, observa-se um intenso esforço para a industrialização do estado da Paraíba. No entanto, entre 1970 e 1980, devido às elevadas taxas de inflação e ao aumento do endividamento externo, o estado experimentou um declínio na atividade industrial e uma maior dependência das atividades agrícolas (Afonso & Fernandes, 2019). Já nos anos 1990, com a adoção de políticas de liberalização econômica e com a privatização de empresas estatais, a economia paraibana passou a se concentrar, sobretudo, no setor de serviços.
No século XXI, na perspectiva regional/nacional, a Paraíba se encontra numa situação ou posição de subdesenvolvimento em expansão, ou seja, apresenta uma taxa de crescimento do pib anual superior à média regional e nacional, porém com um IDH ainda bastante inferior às mesmas esferas. Mendes (2012) afirma que:
Ao mesmo tempo, o diferencial no IDH e no crescimento estadual é ainda colocado de maneira intraestadual, quando se isola a capital do estado, demonstrando que existe uma diversidade também interna. As dinâmicas comerciais associam-se a produtos específicos, em especial, commodities. Assim, depreende-se um desnível do emprego nas mesorregiões do estado, bem como o seu perfil educacional. (p. 65)
Por fim, observa-se uma conexão significativa com a estrutura produtiva regional, que se manifesta principalmente pela concentração das atividades econômicas em áreas metropolitanas, onde há maior densidade de infraestrutura, serviços e capital humano qualificado (Silva & Rodrigues, 2010). Essa centralização produtiva, embora favoreça o desenvolvimento de polos dinâmicos e inovadores, também contribui para acentuar as desigualdades territoriais entre os centros urbanos e as periferias. Consequentemente, surgem disparidades relevantes nos níveis de qualificação profissional e na renda média dos trabalhadores, revelando um quadro assimétrico dentro do próprio estado, que exige políticas públicas mais equilibradas e integradoras para promover o desenvolvimento regional de forma mais equitativa e sustentável.
Materiais e métodos
A metodologia da pesquisa foi do tipo exploratória e descritiva com abordagem quantitativa. O estudo considera o agrupamento de indicadores econômicos, sociais e ambientais por meio do uso de técnicas estatísticas de Moran, o Box Map, o Local Indicatores of Spatial Association (LISA map) e de programação computacional skimR. Os dados foram expostos por meio de cartografia elaboradas em Sistemas de Informações Geográficas (SIG), tabelas e gráficos de espalhamento (figura 2).
Figura 2. Fluxograma da metodologia
Fonte: Autores (2024).
Para a realização do estudo, foram utilizados dados disponíveis na plataforma Atlas, com a extração de indicadores sociais e econômicos provenientes do Censo de 2010 do IBGE, bem como do Índice de Desenvolvimento Humano por Município (IDHM), do Índice de Gini e de informações sobre o tratamento de água e de lixo. Embora esses indicadores não constituam, isoladamente, uma base sólida e completa para a análise do desenvolvimento regional, sua escolha foi orientada pela relevância e pela correlação AHP1 (Analytic Hierarchy Process — processo de hierarquia analítica) observada por fenômenos de desigualdade social e deficiência em infraestrutura de saneamento básico, frequentemente associadas às dinâmicas territoriais. A metodologia adotada neste estudo considerou apenas essas variáveis iniciais por serem aquelas que apresentaram maior significância estatística e interpretativa durante o processo de seleção dos dados.
Por sua vez, o IDHM é um índice que avalia o grau de desenvolvimento do município, formado por três dimensões: longevidade, educação e renda. Seus valores escalam de 0 a 1, em que, quanto mais próximo de 1, melhor é o desenvolvimento do município. Foi dividido em cinco faixas de classificação propostas pelo Atlas do desenvolvimento humano nas regiões metropolitanas brasileiras (Instituto de Pesquisa Económica Aplicada [IPEA], 2017).
O Índice de Gini é uma medida utilizada para indicar o grau de concentração de renda de determinado local. Seus valores costumam variar entre 0 e 1 (ou entre 0 e 100), sendo que quanto mais próximo de 0, mais homogênea é a distribuição de renda, o que representa o cenário ideal. Neste estudo, o índice foi analisado com base nos quartis de sua distribuição entre os municípios do estado.
Tratamento de água é o percentual da população que vive em domicílios com água encanada. Razão entre a população que vive em domicílios particulares permanentes com água canalizada para um ou mais cômodos e a população total residente em domicílios particulares permanentes multiplicado por 100. A água pode ser proveniente apenas de rede geral e tratada. O presente estudo utilizou as porcentagens dessa taxa em que elas foram divididas em faixas com base nos quartis da sua distribuição para o estado.
Tratamento de lixo é o percentual da população que vive em domicílios urbanos com serviço de coleta de lixo. Razão entre a população que vive em domicílios com coleta de lixo e a população total residente em domicílios particulares permanentes multiplicado por 100. Estão incluídas as situações em que a coleta de lixo é realizada diretamente por empresa pública ou privada, ou o lixo é depositado em caçamba, tanque ou depósito fora do domicílio, para posterior coleta pela prestadora do serviço. São considerados apenas os domicílios particulares permanentes localizados em área urbana. No presente estudo, trabalhou-se com as porcentagens dessa taxa em que elas foram divididas em faixas com base nos quartis da sua distribuição para o estado.
Os referidos dados podem ser observados na Tabela 1.
Tabela 1. Classes das variáveis
Classe |
idhm |
Gini |
T_Lixo |
T_Água |
1° |
De 0 |
De 0,53 a 0,70 |
De |
De 61 % |
2° |
De 0,60 |
De 0,50 a 0,52 |
De 58 % a 69 % |
De 92 % |
3° |
De 0,70 |
De 0,47 a 0,49 |
De 70 % a 78 % |
De 97 % |
4° |
De 0,80 |
De 0 a |
De 79 % a 99 % |
De 98 % |
Fonte: Autores (2024).
Para a cartografia, os dados foram submetidos a uma análise descritiva realizados por meio do skimR dentro do Rstudio uma ide (Integrated Development Environment — ambiente de desenvolvimento integrado) para a linguagem de programação R 4.3.1 e, posteriormente, foi realizada a análise espacial de dados de área via pacotes Maptools & Raster, utilizando a malha municipal disponibilizada no site do IBGE (2021).
Com dados selecionados, bem como com a base municipal vetorial georreferenciada, foi possível realizar a análise estatística espacial. Para isso, transformaram-se os dados em atributos por meio do Índice de Moran Global. Esse índice avalia a dependência espacial entre todos os polígonos da área de estudo, por meio de uma única estatística, representada pela seguinte fórmula:
Em que:
n o número de áreas;
Zi o valor do atributo considerado na área i;
μz o valor médio do atributo na região de estudo;
Wij o elemento da matriz de vizinhança normalizada.
Pode-se associar a estatística de Moran a um teste de hipótese para a checagem de existência de autocorrelação espacial, cuja hipótese nula é de independência espacial, no caso sendo seu valor 0 (Câmara, 2004).
Em que:
H0 - Não há autocorrelação espacial;
H1 - Há evidências de autocorrelação.
Valores positivos (entre 0 e 1) indicam correlação espacial positiva, enquanto valores negativos (entre -1 e 0) indicam correlação espacial negativa. O Índice de Moran Local fornece uma medida única de associação para todo o conjunto de dados, sendo essencial para a compreensão geral da área de estudo. Entretanto, como a análise envolve múltiplas áreas, é possível que a associação espacial varie conforme a região observada. Por essa razão, torna-se necessária a aplicação de técnicas que avaliem essa associação de forma localizada (Câmara, 2004). Nesse contexto, utiliza-se o Índice de Moran Local, que permite examinar a relação de cada área com suas respectivas vizinhanças, com base em uma distância predeterminada.
Posteriormente, os valores foram aplicados em cartogramas por meio do LISA map. O Box Map funciona como uma extensão do Gráfico de Espalhamento de Moran, ferramenta utilizada para observar a autocorrelação espacial, na qual as áreas são representadas de acordo com seu respectivo quadrante. Os quadrantes Q1 (alto-alto) e Q2 (baixo-baixo) indicam, respectivamente, áreas com autocorrelação positiva-positiva e negativa-negativa, apresentando os clusters de valores similares. Enquanto os quadrantes Q3 (alto-baixo) e Q4 (baixo-alto) representam áreas de autocorrelação positivo-negativa e negativa-positiva, isto é, dissimilaridade espacial entre as áreas vizinhas em relação à variável analisada (Câmara, 2004). Ou seja, municípios com valores altos cercados por outros também com altos desempenhos (Q1) indicam potencialidades para o desenvolvimento regional, formando áreas de destaque positivo. Além disso, municípios com valores baixos cercados por outros igualmente baixos (Q2) revelam uma concentração de vulnerabilidades.
O LISA map é uma representação gráfica dos indicadores de associação espacial que satisfazem dois requisitos. São indicadores que avaliam o agrupamento espacial significativo de valores semelhantes em torno de cada observação. A soma dos lisas de todas as observações está relacionada a um indicador global de associação espacial. Essa abordagem quantifica a presença de padrões espaciais e fornece uma visão geral da associação espacial em um estudo (Anselin, 1995; Nunes, 2013). Este é comumente utilizado para avaliar o nível de significância das regiões de estudo que apresentam correlação significativas diferente, seus valores no geral são divididos em quatro grupos de interesse: não significativos, significativo a 5 %, significativo a 1 % e significativo a 0,1 %.
Na prática, essas duas metodologias ajudam a identificar agrupamentos (clusters) de problemas ou potencialidades dentro de um território e a avaliar o grau de confiança desses padrões. Por isso, são amplamente utilizadas em análises regionais para embasar decisões e orientar políticas públicas mais eficazes e direcionadas.
Resultados e discussão
A análise descritiva dos dados forneceu uma visão geral sobre a distribuição dos indicadores no estado da Paraíba. O IDHM apresentou média de 0,59 e mediana de 0,58, o que revela um baixo nível de desenvolvimento humano no estado. O Índice de Gini teve média e mediana de 0,50, indicando que metade dos municípios está abaixo desse valor, o que reflete um nível moderado de desigualdade. Em relação ao saneamento, a taxa média de tratamento de lixo foi de 94,7 %, com mediana de 97 %, enquanto a taxa média de tratamento de água foi de 66,7 %, com mediana de 70,11 %. Os resultados completos da análise descritiva podem ser consultados na tabela 2.
Tabela 2. Análise descritiva dos indicadores para o estado da Paraíba
Fonte: Autores (2024).
Em seguida, foi realizada a análise descritiva por mesorregião, com o objetivo de compreender as particularidades de cada área do estado. Os resultados estão apresentados na tabela 3. O idhm das mesorregiões do Agreste Paraibano, Mata Paraibana e Sertão Paraibano foi classificado como "baixo", com média e mediana de 0,50. Já a mesorregião da Borborema obteve classificação "muito baixo", com média e mediana de 0,48. Em relação ao Índice de Gini, observou-se que as mesorregiões do Agreste Paraibano e Borborema apresentaram uma distribuição aparentemente normal para esse indicador. Por sua vez, nas demais regiões, a distribuição foi assimétrica à esquerda, o que sugere uma concentração menor da desigualdade entre os municípios que compõem essas mesorregiões.
Tabela 3. Análise descritiva com média, mediana e histograma das variáveis por mesorregião do estado da Paraíba
Fonte: Autores (2024).
A análise espacial exploratória dos municípios da Paraíba (figura 3) revela padrões importantes na distribuição do IDHM no estado. A cartografia mostra a presença de um cinturão de municípios com IDHM médio, que se estende desde a mesorregião da Borborema até o centro do Agreste Paraibano. Também é possível identificar um agrupamento significativo de municípios com idhm médio na região noroeste do Sertão Paraibano. Na mesorregião da Mata Paraibana, observa-se que os municípios localizados ao redor da capital, João Pessoa, também apresentam idhm médio. No entanto, de forma geral, a maioria dos municípios paraibanos ainda possui baixo IDHM. Os resultados completos dessa análise estão ilustrados na figura 3.
Figura 3. Análise espacial exploratória dos indicadores para os municípios do estado da Paraíba
Fonte: Autores (2024).
A análise espacial do Índice de Gini na Paraíba revelou que a mesorregião do Sertão Paraibano concentra um número expressivo de municípios com altos níveis de desigualdade, predominando aqueles classificados no 4° quartil (ou seja, com os valores mais preocupantes do índice). Além disso, a região apresenta diversos municípios nos 2° e 3° quartis, indicando variações internas, mas ainda com níveis significados de desigualdade. Na Borborema, a maioria dos municípios encontra-se no 2° quartil, o que aponta para um padrão de desigualdade mais moderado em comparação às demais regiões. O Agreste Paraibano apresenta um comportamento parecido com o Sertão, com a formação de dois grandes grupos de municípios no 4° quartil, evidenciando também elevados níveis de desigualdade. Já na Mata Paraibana, destaca-se a capital João Pessoa, situada no 4° quartil, ao lado de vários outros municípios da região posicionados no 3° quartil, o que reforça a presença de desigualdade significativa nessa área.
Na mesorregião do Sertão Paraibano, é possível ver um agrupamento de municípios com os melhores resultados no tratamento de água, localizados no 4° quartil. Além disso, nas partes sul, leste e oeste da região, muitos municípios estão nos 2° e 3° quartis, o que indica um bom nível de tratamento de água nessa área. Já na região da Borborema, a maioria dos municípios está nos 2° e 3° quartis, próximos a outros municípios com os melhores resultados (4° quartil). No Agreste Paraibano, há três grupos diferentes: dois com municípios no 1° quartil (com piores índices), localizados ao sul e ao norte da região, e um grupo com municípios no 4° quartil, com os melhores índices. Na mesorregião da Mata Paraibana, a maioria dos municípios está nos 3° e 4° quartis, apontando bons níveis de tratamento de água em toda a região. Esses resultados mostram que o acesso e a qualidade do tratamento de água variam bastante entre as diferentes mesorregiões da Paraíba.
Observa-se que os níveis de tratamento de resíduos sólidos variam bastante entre as mesorregiões da Paraíba. No leste do Sertão Paraibano, há um grande grupo de municípios no 3° quartil, o que indica um bom acesso ao tratamento de resíduos nessa área. Além disso, nas regiões norte, noroeste e central da mesma mesorregião, muitos municípios estão nos 3° e 4° quartis, o que reforça esse bom desempenho. Na Borborema, a maioria dos municípios também está nos 3° e 4° quartis, especialmente nas áreas norte, sul, sudeste e oeste. Já no Agreste Paraibano, há uma forte concentração de municípios com bons níveis de tratamento (3° e 4° quartis) no centro da região, mas também há um grupo de municípios com os piores índices (1° quartil) na parte sul. Por fim, na Mata Paraibana, muitos municípios estão classificados no 2° e 3° quartil, mostrando um desempenho intermediário no tratamento de resíduos. Esses dados revelam uma distribuição desigual dos serviços de tratamento de resíduos entre as diferentes regiões do estado.
Com os resultados da análise espacial exploratória, foi realizado o teste doÍndice de Moran Global para checar a autocorrelação espacial dos índices para o estado da Paraíba. A partir da tabela 4, observa-se então por meio do P-valor que todas as variáveis se demonstraram significativas, o que leva à rejeição da hipótese nula e consequentemente a não rejeição da hipótese alternativa. Constatando-se a autocorrelação espacial global dentro da área de estudo, partiu para o estudo da autocorrelação de um município para com a sua vizinhança, a fim de identificar padrões espaciais de dependência entre seus vizinhos.
Tabela 4. Teste do Índice de Moran Global para as variáveis estudadas no estado da Paraíba
Variável |
I de Moran |
P-valor |
IDHM |
0.33 |
0,0000 |
Gini |
0.09 |
0,0108 |
T_Água |
0.31 |
0,0000 |
T_Lixo |
0.09 |
0,0094 |
Fonte: Autores (2024).
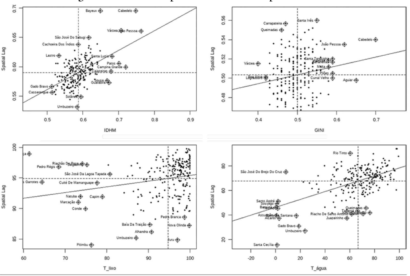
Adiante, é observado o gráfico de espalhamento de Moran que corrobora com os resultados apresentados pelo teste da estatística de Moran, pode-se observar os resultados na figura 4.
Figura 4. Gráfico de espalhamento de Moran para da Paraíba
Fonte: Autores (2024).
Figura 5. Box Map e LISA Significance para os indicadores no estado da Paraíba
Fonte: Autores (2024).
Na figura 5, ao analisar a variável IDHM, é possível identificar dois clusters na região da Zona da Mata. O primeiro é um agrupamento de correlação positiva, no quadrante Q1 (alto-alto), localizado no entorno da capital João Pessoa, incluindo os municípios da zona metropolitana, como Conde e Santa Rita. O segundo cluster está no quadrante Q2 (baixo-baixo), com sete municípios de baixo idhm, tendo Sapé como referência. No Agreste Paraibano, destaca-se um cluster negativo no quadrante Q1, formado por cinco municípios ao redor de Campina Grande, a segunda cidade mais populosa da Paraíba e um dos polos económicos do estado. Na Borborema, apenas o município de São João do Cariri apresentou padrão de cluster no quadrante Q1. Já no Sertão Paraibano, cinco municípios localizados nas proximidades de Patos —a quarta maior cidade do estado— formam um cluster positivo no quadrante Q1. Esses resultados indicam que os principais clusters positivos de desenvolvimento humano estão relacionados aos grandes centros urbanos e económicos do estado, o que reforça o papel dessas cidades como polos regionais de desenvolvimento.
Ao analisar os clusters da variável Gini, observa-se que, na região da Zona da Mata, não há correlações estatisticamente significativas, o que indica ausência de padrões espaciais consistentes nesse território. Já entre o Agreste Paraibano e a Borborema, destaca-se um cluster positivo no quadrante Q1 (alto-alto), formado por três municípios no entorno de Campina Grande. Esse agrupamento sugere uma concentração de municípios com baixa desigualdade de renda próximos entre si —um sinal positivo para o desenvolvimento regional. No Sertão Paraibano, observa-se uma dispersão maior dos padrões de desigualdade: a cidade de Patos aparece inserida em um cluster positivo ( Q1), o que revela um contexto de menor desigualdade na área central do Sertão; enquanto, mais ao interior, surgem clusters no quadrante Q2 (baixo-baixo), apontando regiões com alta desigualdade cercadas por outras com o mesmo problema. Esses padrões revelam que, enquanto algumas áreas urbanas apresentam sinais de maior equilíbrio socioeconómico, regiões mais afastadas ainda concentram vulnerabilidades estruturais.
Na variável "Coleta de resíduos sólidos" (T_Lixo), observa-se que, na região da Zona da Mata, há dois agrupamentos com correlação negativa no quadrante Q2 (baixo-baixo), localizados ao longo do litoral, porém sem conexão direta com a capital João Pessoa. Nas mesorregiões do Agreste Paraibano e da Borborema, não foram identificadas correlações espaciais significativas. Já no Sertão Paraibano, destaca-se um cluster positivo no quadrante Q1 (alto-alto), formado por quatro municípios do interior, que apresentam bons índices de coleta de lixo e estão próximos de outros com desempenho semelhante. Esse cenário revela que, mesmo em regiões mais afastadas dos grandes centros urbanos, podem surgir núcleos de eficiência em serviços públicos, ao passo que áreas costeiras densamente povoadas ainda enfrentam desafios estruturais no tratamento adequado de resíduos.
Em relação aos clusters da variável Tratamento de Água (T_Agua), observou-se a formação de dois agrupamentos distintos na região da Zona da Mata. O primeiro corresponde a um cluster de correlação positiva no quadrante Q1 (alto-alto), localizado no entorno da capital João Pessoa, indicando municípios com elevado nível de tratamento de água, cercados por outros com desempenho semelhante. O segundo agrupamento, classificado no quadrante Q2 (baixo-baixo), circunda o primeiro cluster, abrangendo municípios ao norte, sul e oeste da Região Metropolitana, o que evidencia uma precarização dos serviços de água nas áreas intermediárias da Zona da Mata. No Agreste Paraibano, destaca-se um cluster de correlação negativa (Q2), formado por oito municípios ao sul da mesorregião, na divisa com o estado de Pernambuco. Em contraste, a cidade de Campina Grande sobressai como centro de um cluster positivo (Q1). Entre o Agreste e a Borborema, foi identificado um agrupamento de 12 municípios também classificados no quadrante Q2, o que reforça um padrão de desigualdade regional no acesso à infraestrutura hídrica. Já no Sertão Paraibano, não foram detectadas correlações espaciais significativas, o que sugere uma distribuição mais dispersa e sem padrão espacial consistente para a variável analisada.
Diante da análise dos "bolsões" apresentados na figura 5, observa-se uma clara relação entre o desempenho das variáveis socioeconómicas e a centralização dos investimentos em áreas mais urbanizadas dos municípios paraibanos. As áreas que abrigam os principais centros urbanos —como João Pessoa, Campina Grande e Patos— concentram os clusters positivos (Q1) nas variáveis idhm, Gini, coleta de resíduos sólidos e tratamento de água, revelando melhores condições de desenvolvimento humano, menor desigualdade e maior eficiência nos serviços públicos. Esses municípios exercem forte atração populacional, económica e de serviços, funcionando como centros regionais capazes de influenciar diretamente seu entorno e de concentrar os indicadores socioeconómicos mais elevados.
Esse padrão espacial está em consonância com os modelos de desenvolvimento regional polarizado e endógeno, nos quais os polos urbanos crescem mais rapidamente, podendo irradiar —ainda que de forma desigual— seus efeitos para as áreas periféricas mais próximas. Conforme proposto por Perroux (1955) e reforçado por Farias e Nascimento (2010), o desenvolvimento tende a se concentrar em centros dinâmicos, enquanto regiões mais afastadas frequentemente permanecem estagnadas ou crescem a ritmos muito inferiores.
Embora o efeito de difusão possa beneficiar áreas vizinhas aos polos, sua intensidade e alcance nem sempre são suficientes para romper as desigualdades estruturais entre as regiões. Entretanto, os dados também revelam limitações no planejamento endógeno no contexto paraibano. Observa-se que os investimentos tendem a se concentrar em áreas que já dispõem de bens comuns estratégicos —como solo fértil, acesso a recursos hídricos, jazidas minerais e mão de obra qualificada— em detrimento de regiões mais áridas, especialmente aquelas marcadas por secas recorrentes. Essa lógica de seletividade territorial acaba aprofundando desigualdades, à medida que certos municípios, por não apresentarem atrativos económicos imediatos, permanecem à margem do desenvolvimento regional, o que compromete a inclusão produtiva e o equilíbrio territorial (Amaral Filho, 1996).
Em contrapartida, os clusters negativos sobretudo nas regiões intermediárias e mais interioranas, evidenciam deficiências estruturais e desigualdades territoriais persistentes consideradas estruturais. Essa disparidade espacial reforça a necessidade de políticas públicas direcionadas à interiorização do desenvolvimento e ao fortalecimento da in-fraestrutura básica em municípios fora dos grandes polos. Esses agrupamentos espaciais revelam a existência de uma fragmentação territorial no acesso aos serviços públicos essenciais e às oportunidades de desenvolvimento, indicando que boa parte do território estadual permanece à margem dos avanços observados nos grandes centros urbanos (Vainer, 2007). Tal configuração espacial reflete a lógica clássica de centro-periferia, na qual os benefícios da modernização e da urbanização se concentram em poucos polos dinâmicos, enquanto vastas regiões periféricas enfrentam déficits históricos (Ricci, 2004).
Assim, sugere-se que é necessário implementar um conjunto de estratégias que abordem diversas áreas. A seguir, descrevem-se algumas estratégias principais.
Promoção de incentivos fiscais e financeiros para o interior
Estabelecer políticas fiscais e incentivos para atrair investimentos às regiões periféricas, com foco na criação de linhas de crédito acessíveis e programas de capacitação para pequenas e médias empresas. Isso ajudaria a descentralizar o crescimento económico e reduzir as desigualdades territoriais, promovendo o desenvolvimento local.
Expansão da infraestrutura de transporte e logística
Investir na melhoria das infraestruturas de transporte, como rodovias, ferrovias e portos, nas regiões periféricas. Aumentar a conectividade e reduzir custos de transporte pode facilitar a distribuição de produtos e insumos, gerando mais oportunidades de desenvolvimento económico em municípios afastados dos polos urbanos.
Fortalecimento da governança local e parcerias público-privadas
Capacitar lideranças locais e criar parcerias público-privadas para o desenvolvimento de projetos de infraestrutura essenciais, como água e energia. A gestão eficiente e o envolvimento comunitário podem garantir que as políticas públicas atendam melhor às necessidades locais e proporcionem benefícios sustentáveis às áreas periféricas.
Implementação de programas de resiliência e adaptação às secas
Investir em programas de resiliência para enfrentar secas recorrentes, com foco na gestão sustentável de recursos hídricos e agricultura irrigada. Programas como a construção de cisternas e a capacitação dos agricultores ajudariam a reduzir a vulnerabilidade das regiões áridas e garantiriam a segurança alimentar e hídrica local.
Integração das políticas de saúde e educação com o desenvolvimento local
Integrar políticas de saúde e educação ao desenvolvimento local, garantindo melhor acesso e qualidade desses serviços nas regiões afastadas. Investir na educação básica e na formação profissional pode aumentar a produtividade e reter talentos, melhorando as condições de vida e oportunidades no interior do estado.
Essas estratégias visam à descentralização do desenvolvimento e ao fortalecimento das potencialidades locais, reconhecendo que as áreas periféricas têm características próprias e podem contribuir para o desenvolvimento regional, mesmo sem a proximidade imediata dos grandes centros urbanos. A implementação dessas ações pode reduzir a disparidade espacial e promover um crescimento mais equilibrado, alcançando melhores condições de vida e oportunidades de desenvolvimento para as regiões menos favorecidas da Paraíba.
Considerações finais
O presente trabalho sistematiza uma fundada análise sobre variáveis sociais, económicas e ambientais (indicadores Gini, IDHM, Tratamento Lixo e Tratamento água). Nesse contexto, em relação ao Gini, registra-se que a região da Borborema apresenta a menor taxa de desigualdade socioeconómica, a maior média e mediana de ihdm e de Coleta de Tratamento de Lixo entre as mesorregiões do estado. Sobre a variável tratamento e distribuição de água, a mesorregião da Mata Paraibana apresenta as melhores média e medianas. Em contrapartida, a mesorregião da Borborema apresenta a pior média na variável tratamento de água. No geral, os indicadores se apresentam muito abaixo do ideal, necessitando melhores estratégias de desenvolvimento a nível regional.
Este estudo visa contribuir com elementos inter-relacionados que constitui um importante arcabouço de informações, ao traçar características do estado da Paraíba a parir das mesorregiões, sobre a dinâmica de indicativos de desenvolvimento, sendo possível identificar os padrões de dependência espacial, as contradições e heterogeneidade no tratamento da água, o tratamento de resíduos sólidos e o grau de desenvolvimento dentro do estado. Ressalta-se, ainda, com base nos dados levantados que o estudo em tela fornece elementos de uma visão até certo ponto prospectiva, os dados consubstanciados com base em métodos estatísticos validados, são capazes de alargar os horizontes analíticos que possibilitem novas avaliações, oferecendo alternativas para o enfrentamento dos problemas estruturais, a partir de uma política pública e planejamento na agenda governamental condizentes com os desafios dos territórios do estado da Paraíba no contexto atual.
Uma das principais limitações este estudo é uso de quatro apenas quatro variáveis. Essa abordagem tende não contemplar toda a complexidade económica da região. No entanto, destaca-se que a metodologia se encontra em fase de desenvolvimento, com a perspectiva de inclusão de novos indicadores em etapas posteriores da pesquisa, de forma a enriquecer a compreensão sobre as múltiplas dimensões do desenvolvimento regional e suas complexidades. Estudos futuros pretendem incluir fatores como o pib, renda média familiar, população, faixa etária, esgotamento sanitário, tipo de moradia para medir a atividade económica total, indicadores de saúde e educação para avaliar o bem-estar humano e a produtividade, e medidas de renda e desigualdade para entender a distribuição de recursos e oportunidades.
Posto isso, a caracterização espacial observada nos territórios da Paraíba, ainda que limitada por certas restrições metodológicas e informacionais, impõe a necessidade de estratégias voltadas ao desenvolvimento regional. Algumas hipóteses podem ser levantadas para orientar a discussão, com ênfase na incorporação de abordagens capazes de responder aos novos padrões de produção. Esses padrões, compreendidos como resultado da articulação entre forças económicas e sociais em diversas escalas territoriais, exigem um olhar que reconheça o local como parte integrante de um sistema mais amplo, o que, por sua vez, determina as condições da vida humana em uma sociedade complexa, desigual e urbanizada.
Notas
1 O método ahp baseia-se em uma sequência estruturada de etapas para auxiliar na tomada de decisões complexas. Primeiramente, o problema é organizado em uma hierarquia, na qual o objetivo principal ocupa o topo; os critérios e os subcritérios relevantes situam-se no nível intermediário; e as alternativas de decisão são posicionadas na base da estrutura. Em seguida, realiza-se uma série de comparações pareadas entre os critérios, avaliando, dois a dois, qual deles é mais importante em relação ao objetivo geral e em que grau, geralmente utilizando uma escala de 1 a 9. Esse mesmo processo é repetido entre as alternativas, considerando seu desempenho em relação a cada critério previamente estabelecido. A partir dessas comparações, são calculados os pesos relativos dos critérios e das alternativas, utilizando métodos matemáticos, como matrizes de comparação e cálculo de autovalores, o que permite obter uma pontuação final que orienta a escolha da alternativa mais adequada à situação analisada (Saaty, 1979).
Referências
Acserald, H., & Bezerra, G. (2006). Cidade, ambiente e política: problematizando a Agenda 21 local. Editora Garamond.
Afonso, A., & Fernandes, M. (2019). A Relação entre cidade moderna e industrialização: o caso do bairro da Prata em Campina Grande. Paraíba. Revista Jatobá, 1. https://doi.org/10.54686/revjat.v1i.61787
Agostini, S., Bacilieri, S., Hojo, H., Vitiello, N., Bilynskyj, M., Batista Filho, A., & Rebouças, M. (2013). Ciclo econômico do Pau-Brasil-Caesalpinia echinata lam., 1785. Páginas do Instituto de Biologia, São Paulo, 9(1), 15-30.
Anselin, L. (1995). Local indicators of spatial association — LISA. Geographical analysis, 27(2), 93-115. https://doi.org/10.1111/j.1538-4632.1995.tb00338.x
Amaral Filho, J. (1996). Desenvolvimento regional endógeno em um ambiente federalista. Planejamento e Políticas Públicas, (14). www.ipea.gov.br/ppp/index.php/PPP/article/view/129
António Filho, F. (2013). Riqueza e miséria do ciclo da borracha na Amazónia brasileira: um olhar geográfico através de Euclides da Cunha. Casa da Cultura Páginas do Inst. Biol., 9(1), 6-14.
Banco Mundial. (2024). Índice de Gini- Brazil, 2024. https://datos.bancomundial.org/indicator/SI.POV.GINI?locations=BR
Barquero, A. (1998). Desarrollo, redes e innovación: lecciones sobre desarrollo endógeno. Ed. Pirámide.
Barreto, P. (2009). História-Seca, fenómeno secular na vida dos nordestinos. IPEA.
Becker, D. (2000). Necessidades e Finalidades dos Projetos Regionais de Desenvolvimento Local. Em: D. Becker & P. Bandeira (Eds.), Desenvolvimento Local-Regional: Determinantes e desafios contemporâneos. Edunisc.
Bellen, H. (2002). Indicadores de sustentabilidade: uma análise comparativa [Tese de doutorado]. Universidade Federal de Santa Catarina.
Boisier, S. (1996). Em busca do esquivo desenvolvimento regional: entre a caixa-preta e o projeto político. Revista de Planejamento e Políticas Públicas, (13), 111-143. www.ipea.gov.br/ppp/index.php/PPP/article/view/135
Brandão, C. (2010). Prefácio. Em V. Dalla-brida (Ed.), Desenvolvimento regional: por que algumas regiões se desenvolvem e outras não? EDUNISC.
Boisier, S. (2000). Desarrollo (Local): ¿O de qué estamos hablando? Em D. Becker & P. Bandeira (Eds.), Desenvolvimento Local Regional: Determinantes e desafios contemporâneos. Edunisc.
Brasil. (1959). Lei n° 3.692, de 15 de dezembro de 1959. Institui a Superintendência do Desenvolvimento do Nordeste e dá outras providências. https://www.planalto.gov.br/ccivil_03/LEIS/1950-1969/L3692.htm
Câmara, G. (2004). Análise espacial e geoprocessamento. Em Análise espacial de dados geográficos. EMBRAPA.
Comissão Mundial sobre Meio Ambiente e Desenvolvimento. (1988). Nosso futuro comum (Relatório Brundtland). Fundação Getúlio Vargas.
Farias, C., & Nascimento, A. (2010). Desenvolvimento endógeno e desenvolvimento polarizado: teorias em confronto. Revista Eletrónica Polidisciplinar Voos, 6(2). https://doi.org/10.69876/rv.v6i2.219
Furtado, C. (1980). Pequena introdução ao desenvolvimento: enfoque interdisciplinar. Nacional.
Gebauer, J., Nehrlich, A., Sedikides, C., & Neberich, W. (2013). The psychological benefits of income are contingent on individual-level and culture-level religiosity. Social Psychological and Personality Science, 4(5), 569-578. https://doi.org/10.1177/1948550612469819
Gomes, P. (1995). O conceito de região e sua discussão. Em: I. Castro, P. Gomes & R. Corrêa (Eds.), Geografia: conceitos e temas. Bertrand Brasil.
Hammond, A., Adriaanse, A., Rodenburg, E., Bryant, D., & Woodward, R. (1995). Environmental Indicators: A Systematic Approach to Measuring and Reporting on Environmental Policy Performance in the Context of Sustainable Development. World Resources Institute.
Instituto Brasileiro de Geografia e Estatística. (2021). Produto Interno Bruto. IBGE Cidades. https://cidades.ibge.gov.br/
Instituto Brasileiro de Geografia e Estatística. (2022). Pesquisa Nacional por Amostra de Domicílios Contínua-PNAD Contínua, 2022. https://www.ibge.gov.br/estatisticas/sociais/trabalho/17270-pnad-continua.html
Instituto Brasileiro de Geografia e Estatística. (2017). Divisão Regional do Brasil. https://www.ibge.gov.br/geociencias/organizacao-do-territorio/divisao-regional/15778-divisoes-regionais-do-brasil.html
Instituto de Pesquisa Económica Aplicada. (2017). Atlas do desenvolvimento humano nas regiões metropolitanas brasileiras. https://repositorio.ipea.gov.br/server/api/core/bitstreams/0c0dc806-e2e9-4783-9c92-8a028e4c3f71/content
Inácio, R., Rodrigues, M., Xavier, T., Wittmann, M., & Minussi, T. (2013). Desenvolvimento Regional Sustentável: abordagens para um novo paradigma. Desenvolvimento em Questão, 11(24). https://doi.org/10.21527/2237-6453.2013.24.6-40
Lima, D. (2018). The 1960s Modernization Theory Updated: The Role of the Evaluative State in Today's Brazilian Education. Universal Journal of Educational Research, 6(10). https://doi.org/10.13189/ujer.2018.061036
Lima, M., & Roncaglio, C. (2001). Degradação socioambiental urbana, políticas públicas e cidadania. Editora da ufpr. https://doi.org/10.5380/dma.v3i0.3028
Maricato, E. (2000). Urbanismo na periferia do mundo globalizado: metrópoles brasileiras. São Paulo em Perspectiva, 14(4), 21-33. https://doi.org/10.1590/S0102-88392000000400004
Mattedi, M. (2014). Pensando com o desenvolvimento regional: subsídios para um programa forte em desenvolvimento regional. Revista Brasileira de Desenvolvimento Regional, 2(2). http://dx.doi.org/10.7867/2317-5443.2014v2n2p059-105
Meadows, D. (1998). Indicators and Information Systems for Sustainable Development. Hartland Four Corners: The Sustainability Institute.
Mendes, C., Araújo, I., Fernandes, A., Lyra, D., Oliveira, G., Oliveira, C., & Silva, N. (2012). A Paraíba no contexto nacional, regional e interno. Instituto de Pesquisas Aplicadas.
Mendes, I. (2015). Conceito de Desenvolvimento Sustentável. Em: C. Carvalho & M. Santos (Eds.), Perspectivas do Desenvolvimento Sustentável. Escolar Editora.
Missio, F. (2017). Macroeconomia do desenvolvimento: uma perspectiva keynesiana. Economia e Sociedade, 26(3). http://dx.doi.org/10.1590/19823533.2017v26n3art10
Moldan, B., & Bilharz, S. (Eds.). (1997). Sustainability Indicators Report of the Project on Indicators of Sustainable Development. John Wiley & Sons Ltd.
Nunes, F. (2013). Análise exploratória espacial de indicadores de desenvolvimento socioambiental das regiões de planejamento do norte e nordeste goiano. Atelie Geografico, 7(1).
Organização das Nações Unidas. (2018). Agenda 2030 para o desenvolvimento sustentável. https://nacoesunidas.org/tema/agenda2030/
Organização das Nações Unidas. (2020). Os 17 Objetivos de Desenvolvimento Sustentável. http://www.agenda2030.org.br/ods/13/
Plataforma Atlas Brasil. (s.d.). http://www.atlasbrasil.org.br/
Perroux, F. (1955). Note sur la notion de póle de croissance. Économie appliquée, 8(1), 307-320.
Programa das Nações Unidas para o Desenvolvimento. (2023). Índice de Desenvolvimento Humano (IDH) - Brasil. https://brasil.un.org/pt--br/263155-lan%C3%A7amento-do-relat%C3%B3rio-de-desenvol-vimento-humano-202324
Programa das Nações Unidas para o Desenvolvimento. (2022). Índice de Desenvolvimento Humano (IDH). https://hdr.undp.org/data-center/human-development-index#/indicies/HDI
Ribeiro, C. (2010). Desenvolvimento e subdesenvolvimento segundo Celso Furtado: influência no debate sobre a questão regional brasileira. https://repositorio.ufsc.br/xmlui/handle/123456789/12 3 744
Ricci, F. (2004). O desenvolvimento regional e a dinâmica do movimento do capital. Revista Brasileira de Gestão e Desenvolvimento Regional, 1(2). https://www.rbgdr.net/revista/index.php/rbgdr/article/view/67
Saaty, T. (1979). Applications of analytical hierarchies. Mathematics and Computers in Simulation, 21(1), 1-20. https://doi.org/10.1016/0378-4754(79)90101-0
Sachs, I. (1986). Ecodesenvolvimento: crescersem destruir. Vértice.
Sachs, I. (1993). Estratégias de transição para o século XXI: desenvolvimento e meio ambiente. Studio Nobel.
Sachs, I. (2004). Desenvolvimento: includente, sustentável, sustentado. Garamond.
Sachs, I. (2007). Ambiente e estilos de desenvolvimento. Em: I. Sachs & P. Vieira (Orgs.), Rumo à ecossocioeconomia: teoria e prática do desenvolvimento. Cortez.
Santos, E. (2017). O Capitalismo e a Questão Ambiental: Reflexões teóricas sobre a Economia do Meio Ambiente. VIIIJornada Internacional de Políticas Públicas.
Schumpeter, J. (1982). Teoria do Desenvolvimento Económico. Abril Cultural.
Sequinel, M. (2002). Cúpula mundial sobre desenvolvimento sustentável-Joanesburgo: entre o sonho e o possível. Análise conjuntural, 24(11-12), 12.
Silva, L., Mantovaneli, O., & Sampaio, C. (2014). Desenvolvimento turístico regional: Governança e territorialidade no caso da Oktoberfest Blumenau (Santa Catarina, Brasil). Turismo & Sociedade, 7(1), 156-173. https://doi.org/10.5380/tes.v7i1.37147
Silva, É., & Rodrigues, J. (2010). Mobilidade espacial nas Metrópoles Brasileiras: complexidade do espaço urbano. Territorios, (22), 11-32. https://revistas.urosario.edu.co/index.php/territo-rios/article/view/1298
Sistema Nacional de Informações sobre Saneamento. (2021). http://www.snis.gov.br/diagnosticos-de-saneamento-basico/diagnostico-snis-2020
Theis, I. (2022). Hic et nunc: qual concepção de desenvolvimento quando se trata de desenvolvimento regional? Revista brasileira de estudos urbanos e regionais, 24. https://doi.org/10.22296/2317-1529.rbeur.202224pt
Vainer, C. (2007). Planejamento territorial e projeto nacional: os desafios da fragmentação. Revista Brasileira de Estudos Urbanos e Regionais, 9(1). https://doi.org/10.22296/2317-1529.2007v9n1p9
Vieira, P. (2016). Ecodesenvolvimento: desvelando novas formas de Resistencia no Antropoceno. Em C. Souza, C. Cioce, A. Ripoll & L. Schlemer (Eds.), Novos Talentos processos de educação para o ecodesenvolvimento. Nova Letra Editora.
