

Impacto de la Semana Santa sobre los índices de producción sectoriales de la industria colombiana*
Impact of Holy Week on the Industrial Production Indexes by Sector in Colombia
Impacto da semana santa sobre os índices de produção setoriais da indústria colombiana
Davinson Stev Abril Salcedo, Luis Fernando Melo Velandia, Daniel Parra Amado
Impacto de la Semana Santa sobre los índices de producción sectoriales de la industria colombiana*
Revista de Economía del Rosario, vol. 19, no. 1, 2016
Universidad del Rosario
Davinson Stev Abril Salcedo dsabrils@unal.edu.co
Banco de la República, Colombia
Luis Fernando Melo Velandia lmelovel@banrep.gov.co
Banco de la República, Colombia
Daniel Parra Amado dparraam@banrep.gov.co
Banco de la República, Colombia
Recepción: 18 Mayo 2016
Aprobación: 23 Agosto 2016
Resumen:
Existen efectos calendario definidos como patrones estacionales irregulares que afectan el comportamiento de las series económicas. En este documento se utilizaron las metodologías de Tramo-Seats propuesta por Gómez y Maravall (1994, 1996) y de TBATS planteada por De-Livera et al. (2011) para ajustar estacionalmente los índices de producción industrial sectoriales en Colombia para el período comprendido entre enero de 1990 y septiembre de 2014, teniendo en cuenta efectos calendario como la Semana Santa y los días feriados. Se encontró que la mayoría de actividades que componen la industria se ven afectadas negativamente en su producción por dichos efectos, excepto por la refinación de petróleo, las sustancias químicas y vidrio, donde el impacto no es significativo. Los coeficientes estimados asociados a la Semana Santa presentan una magnitud mayor que la de días feriados y existe alta heterogeneidad en los resultados por actividad industrial. Por último, el impacto más significativo sobre la producción industrial sectorial se presenta cuando irregularmente la Semana Santa cambia de mes de un año a otro (de marzo a abril y viceversa). Allí, se estima que el efecto sobre las expansiones anuales es del 4,924 % y del 7,752 % para TBATS y Tramo-Seats, respectivamente.
Clasificación JEL: C22, C50, E23.
Palabras clave efectos calendario, descomposición de series de tiempo, estacionalidad.
Abstract:
Calendar effects are defined as irregular seasonal patterns that impact the behavior of economic series. We seasonally adjusted the industrial production sector indices in Colombia correcting for the calendar effects such as Easter and holidays. The methodologies Tramo- Seats proposed by Gómez and Maravall (1994, 1996) and TBATS proposed by De-Livera et al. (2011) were used for the sample period January 1990 and September 2014. The most production industries are affected negatively for the calendar effects, excluding oil refining, chemical substances and glass where the impact is not significant. The regression coefficient related with easter week has a magnitude greater than the holidays and the results show a high heterogeneity by industrial activity. Finally, the most significant impact on industrial production sectors occurs when the Easter irregularly changes from year to year among march and april (vice versa). The estimated impacts on industrial production growth through TBATS and Tramo-Seats methodologies are 4.924 % and 7.752 %, respectively
JEL codes: C22, C50, E23.
Keywords: calendar effects, time series decomposition, seasonality.
Resumo:
Existem efeitos calendário definidos como patrões estacionais irregulares que afetam o comportamento das séries económicas. Neste documento utilizaram-se as metodologias de Tramo-Seats proposta por Gómez & Maravall (1994, 1996) e de TBATS apresentada por De Livera et al. (2011) para ajustar sazonalmente os índices de produção industrial setoriais na Colômbia para o período compreendido entre janeiro de 1990 e setembro de 2014, tendo em conta efeitos calendário como a Semana de Pascoa e os dias feriados. Encontrou-se que a maioria das atividades que compõem a indústria veem-se afetadas negativamente na sua produção por ditos efeitos, a exceção da refinação de petróleo, as substâncias químicas e vidro, onde o impacto não é significativo. Os coeficientes estimados associados à Semana de Pascoa apresentam uma magnitude maior que a de dias feriados e existe alta heterogeneidade nos resultados por atividade industrial. Por último, o impacto mais significativo sobre a produção industrial setorial se apresenta quando irregularmente a Semana de Pascoa muda de mês de um ano para outro (de março a abril e vice-versa). Ali, estima-se que o efeito sobre as expansões anuais é de 4,924% e de 7,752% para TBATS e Tramo-Seats, respectivamente.
Classificação JEL: C22, C50, E23.
Palavras-chave: efeitos calendário, decomposição de séries de tempo, sazonalidade.
1. Introducción
El esfuerzo de los analistas económicos por comprender con precisión el crecimiento económico o su deterioro, por lo general, se ve complicado por factores ajenos a la tendencia de los datos, pero que, sin embargo, sí influyen en el nivel de los datos, lo que podría resultar en interpretaciones imprecisas. La variación estacional es una de las fuentes más comunes e importantes de ruido sobre las series de datos económicas mensuales o trimestrales. La variación estacional incluye efectos recurrentes relacionados con el calendario derivados de factores económicos y no económicos, tales como las condiciones climáticas, las vacaciones escolares, días de feriados, Semana Santa, entre otras. Teniendo en cuenta lo anterior, es posible construir modelos econométricos que permitan descomponer las series económicas en los componentes de tendencia-ciclo, estacionalidad y no explicado (ruido), lo que se denomina el proceso de desestacionalización de la serie económica.
Entre los procedimientos más usuales de desestacionalización se encuentran el método X-11-Arima de Dagum (1988) y X-12-Arima de Findley et al. (1998) a través de los que se estiman tres componentes: el cíclico-tendencial, los factores estacionales y el irregular (parte no explicada). Es importante señalar una distinción existente en las variaciones estacionales, las cuales pueden dividirse entre regulares y no regulares. Las primeras están asociadas a fenómenos estacionales que se presentan en los mismos períodos de tiempo con frecuencia en cada año, mientras que los segundos pueden variar su ocurrencia de un año a otro. En general, la preocupación inicial de los analistas económicos se basa en la estimación de los patrones estacionales sistemáticos y se olvida de aquellos efectos calendario que pueden afectar el comportamiento de la serie de manera no regular. Por ejemplo, el impacto de un día festivo que en un determinado mes cambia, si este sucede entre semana o el fin de semana. También se olvida el efecto que podrían tener los años bisiestos en el comportamiento del mes de febrero o el más importante, y que será objeto del presente estudio, el impacto que tiene la Semana Santa sobre la actividad económica, en particular cuando su ocurrencia cambia de marzo a abril.
Findley y Soukup (2000) encontraron que ciertos tipos de actividades económicas se ven afectados de manera significativa por los días festivos. Los autores encuentran que no solo los días feriados impactan el comportamiento de ciertas variables económicas cuando las fiestas tienen lugar, sino que adicionalmente pueden influir la dinámica en las proximidades del evento. Así mismo, evalúan cómo los feriados impactan de manera diversa a las series, puesto que no son fijos, es decir, varían en la ocurrencia del evento de un año al otro. Algo similar sugiere el estudio de Zhang et al. (2001) sobre el volumen de negocios en Australia. Al tener en cuenta las variaciones producidas por los cambios de ocurrencia de las diversas festividades, los autores recomiendan ajustar correctamente las series estacionalmente para evitar subestimaciones que induzcan a equivocaciones en la toma de decisiones de los responsables de política.
Para el caso colombiano se puede citar, en particular, lo que ocurrió durante el primer trimestre de 2013 cuando febrero de ese año tenía un día hábil menos respecto a febrero de 2012 (año que fue bisiesto) y marzo de 2013 tenía tres días hábiles menos por la presencia de la Semana Santa y un festivo (el año anterior la Gran Semana había sido en abril). Los meses de febrero, marzo y abril que estuvieron altamente influenciados por los días hábiles produjeron una alta variabilidad en los resultados reportados por varias series económicas, por ejemplo, ventas, turismo y producción industrial. Para 2014, este fenómeno también afectó las series económicas colombianas para el primer trimestre, ya que la Semana Santa se trasladó de marzo a abril. Todo ello complica la labor diaria de los analistas económicos en términos de describir la coyuntura reciente y de realizar proyecciones en medio de un entorno con alta variabilidad de cierto conjunto de variables que se ven afectadas por eventos transitorios, como los efectos calendario no regulares, los días feriados y la Semana Santa.
De esta manera, un hecho estilizado de gran relevancia para la industria colombiana son los efectos calendario, los cuales son patrones asociados a fenómenos estacionales no regulares que pueden distorsionar el análisis de coyuntura debido a que impiden determinar con precisión la tendencia de la serie. Melo y Parra (2014) muestran que los efectos calendario sobre la industria son significativos, siendo el más relevante la Semana Santa, seguido por los días feriados. Ambos afectan negativamente la producción, y en el caso de la Semana Santa puede restar a la expansión total del sector industrial entre el 4,6 % y 5,13 %, en promedio (figura 1). En este documento se examinan dichos efectos calendario a nivel sectorial, ya que existen ramas en donde los efectos pueden variar dependiendo de la participación de la mano de obra en la producción, o si son industrias relacionadas con la extracción de materias primas, entre otras razones. Este resulta ser uno de los aportes a la literatura colombiana debido a que las estimaciones realizadas evidencian la gran heterogeneidad en el desempeño económico sectorial de las subramas que componen la industria.

A nivel internacional se encuentran algunos trabajos que han estudiado estos temas mediante diversas estrategias. Burdisso et al. (2010) ajusta un modelo reg-Arima X-12 de Findley et al. (1998) sobre las series de billetes y monedas de Argentina durante el período 1992-2007 e incorpora dentro de las variables regresoras el calendario doméstico al ajuste estacional. Allí, encuentra que dichos efectos tienen significancia estadística y que la contribución a la explicación de los movimientos dentro del año no supera los ±0,2 puntos básicos (p.p.), aunque hacia el final de la muestra, en diciembre de 2007 llegó a ser −0,8 p.p. Así mismo, encuentra que los factores estacionales se redujeron de manera importante desde 1997 a 2007, lo que puede estar explicado por el proceso de bancarización y la incorporación de nuevas tecnologías que se registraron en la economía argentina desde finales de los noventa.
Estudios concretos de los efectos calendario sobre la producción industrial son Morales et al. (1992) y Flaig (2003). El primero se concentra en el caso de España y evalúa el impacto de la Semana Santa sobre esta serie económica, encontrando un impacto entre 0,5 a 1,0 p.p. en promedio. En el segundo, además de la Semana Santa, el autor incorpora variables que miden el número de días festivos por mes y el número de días hábiles por mes. Así mismo, propone siete modelos para implementar los ajustes estacionales y la medición de los efectos calendario, hallando que el impacto de los días feriados oscila alrededor de −0,25 y no encontró una especificación significativa para modelar la Semana Santa.
En este documento se mostrarán dos metodologías que permiten desestacionalizar cualquier variable económica teniendo en consideración factores como los efectos calendario durante el procedimiento de estimación. La primera es Tramo-Seats propuesta por Gómez y Maravall (1994, 1996) y la segunda es TBATS enunciada por De-Livera et al. (2011). El documento se concentra en la producción industrial, ya que es uno de los sectores altamente influenciados por los efectos calendario, en especial por la Semana Santa —Parra y Pirajan (2013) y Melo y Parra (2014)—.
Para ello, este escrito se divide en tres secciones adicionales: la primera describe las metodologías propuestas para abordar el problema de la desestacionalización teniendo en cuenta los efectos calendario y las herramientas estadísticas propuestas para caracterizar algunos de los patrones a lo largo del tiempo de los índice sectoriales de producción industrial; la segunda muestra los principales resultados obtenidos para las estimaciones de los efectos calendario sobres los diversos sectores que componen la industria colombiana en el período comprendido entre enero de 1990 y septiembre de 2014. Para finalizar, se presentan las principales conclusiones.
2. Aspectos metodológicos
En esta sección se describen las metodologías que se utilizaron para desestacionalizar las series de los índices de producción industrial por sectores teniendo en cuenta los efectos calendario, los cuales están asociados a la estacionalidad de las series. Esto se torna relevante para el análisis de coyuntura debido a que dichos patrones estacionales son diferentes a nivel sectorial y podrían no permitir una correcta lectura de las tendencias como se mencionó en la introducción.
2.1. Metodología (TBATS)
De-Livera et al. (2011) introducen una representación trigonométrica de los componentes estacionales basados en series de Fourier. Permitiendo de este modo mejorar las estimaciones de la metodología BATS desarrollada por Taylor en 2010, la cual es una generalización de los modelos estado-espacio (MEE) estacionales por innovaciones.
Inicialmente, para remover posibles no linealidades y estabilizar la varianza la serie de tiempo yt se hace uso de la transformación Box-Cox —Box y Cox (1964) y Cajiao et al. (2014)—. Luego esta serie puede ser expresada como:
[1]
[2]
[3a]
[3b]
[3c]
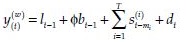
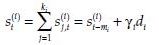
[3d]donde yt (w) es la serie transformada con Box-Cox, yt es la observación en el momento t, lt es el nivel de corto plazo en el período t, b es la tendencia a largo plazo, bt es la tendencia a corto plazo en el período t, st (i) representa la i-ésima componente estacional en el momento t, los períodos estacionales están dados por m 1, m 2, … , mT , dt puede ser un modelo ARMA (p, q) , con e t como un proceso gaussiano ruido blanco con media cero y varianza constante σ2. Los parámetros de suavizamiento están dados por α, β, ϕ y γ i para i = 1, ..., T. A esta clase de modelos se les conoce como BATS y es la generalización de los modelos de innovación estacionales de múltiples períodos que pueden ser no enteros y con efectos calendario compuestos. 1 Ahora, el componente estacional st (i) puede ser expresado como:
[4a]
[4b]
[4c]donde sj,t (i), sj,t *(i) describen el nivel y el crecimiento estocástico del i-ésimo componente estacional, respectivamente; γ 1 (i) y γ 2 (i) son parámetros de suavizado, λ j (i) = 2πj/mi ; y k es el número de armónicos requeridos por el i-ésimo componente estacional, con ki = mi /2 o ki = (mi –1)/2 para valores pares o impares respectivamente. 2 Al incorporarse el componente estacional (4a) en (3a) y (13) se obtiene una representación conocida como trigonometric exponential smoothing state space with Box-Cox transformation, ARMA errors, trend and seasonal components (TBATS). 3
Por otra parte, Hyndman et al. (2008) probaron que la estimación de estos parámetros y coeficientes por máxima verosimilitud gaussiana no es apropiada, dado que también se deben estimar conjuntamente los parámetros de transformación ω y los coeficientes del modelo ARMA. Por lo tanto, la estimación de los parámetros se debe realizar utilizando una función de verosimilitud condicional. La verosimilitud condicional de los datos observados Y = (y 1, … , yn ) derivada bajo la afirmación de que ε t ~ N (0, σ2) implica que la p.d.f. de la serie original sea:
[5]donde x 0 es un vector de variables semilla y ϑ es un vector que contiene los coeficientes Box-Cox, de suavizamiento y los del modelo ARMA. Ahora se puede demostrar que la log-verosimilitud estará dada por:
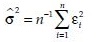
[6]donde un estimador de σ2 puede definirse como:
[7]Sustituyendo (7) en (6), se tiene que 4
[8]Dado que la relación entre cada error y x 0 es lineal, se puede estimar el vector semilla x 0 a través del método de mínimos cuadrados ordinarios. Luego, De-Livera et al. (2011) muestran que es posible reducir la dimensión de la función de verosimilitud como problema de optimización numérica. Se debe entonces minimizar la siguiente ecuación respecto a ϑ.
[9]donde SSE* es el valor de la suma de errores al cuadrado que optimiza el valor de los parámetros dados. 5
Después de la estimación y posterior descomposición, se extraen los residuales de pronóstico de la metodología ϵ^ t =y^ t − yt . Luego, el efecto calendario en t estará dado por λZt , donde λ = (λ1, … , λ j ) son los coeficientes asociados al efecto calendario Zt' = (z 1,t , … , zj,t ); zd,t = TDd,t − T¯D¯ d con TDd,t que denota el valor de la variable en el período t para d = (1, … , j), TDd es su promedio en el período de estimación y j es el número de variables utilizadas para capturar el efecto calendario.
Posteriormente, se estima el modelo ϵ^ t =λZt + wt , donde wt es ruido blanco gaussiano. Finalmente, la serie desestacionalizada y sin efecto calendario es:

2.2. Metodología (Tramo-Seats)
La metodología de Tramo-Seats 6 propuesta por Gómez y Maravall (1994, 1996) modela una serie de tiempo observada {yt }T t=1 ={y 1, y 2, … , yT } mediante la siguiente ecuación:
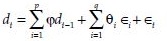
[10]Allí, yt es explicada por los datos atípicos (outliers) (Σ n i =1 α iDi (L)dt,i ), por los denominados efectos calendario (Σ m j =1β jcalt,j ) y por un Arima (xt ) que se ajusta para estimar los componentes tendenciales, estacionales e irregulares. L es el operador rezago, Di (L) es un polinomio que refleja el tipo de outlier, 7 dt,i es una variable dicotómica (dummy) que indica para cada momento del tiempo t la posición del i-ésimo outlier, n es el número de outliers y m es el número de variables que captura los efectos calendario, respectivamente. β j y calt,j son los coeficientes y variables mediante los cuales se modelan dichos efectos calendario. En particular, en este trabajo el impacto de ese fenómeno se obtiene mediante dos variables (calt ,1, calt ,2), una calculada como el número de días feriados o festivos diferentes a domingo en un determinado mes y otra asociada a la ocurrencia de la Semana Santa.
El procedimiento se divide en dos etapas: Tramo y Seats. Con Tramo se modelan los datos atípicos, los efectos calendario y una primera fase automática que permite determinar e identificar los órdenes del modelo Arima para xt . El proceso Arima es especificado como sigue:
[11]donde ϕ(L), δ(L) y θ(L) son polinomios finitos en L y ε xt es una perturbación estocástica que se supone proviene de una distribución normal independiente e idénticamente distribuida con media cero y varianza constante (σ x 2). El primer polinomio está asociado al proceso autorregresivo; el segundo, al orden de integración; y el último, a las medias móviles. En particular, estos pueden ser descritos mediante la siguiente especificación:
[12a]
[12b]
[12c]donde s indica el número de observaciones por año y los tres polinomios están relacionados con los factores estacionales del modelo Arima, en general la estructura viene dada por el orden (p, d, q) (P, D, Q)s. Así, p y P son los órdenes de los autorregresivos regulares y estacionales, d y D es el número de diferencias regulares y estacionales y q y Q son los órdenes de media móvil de la parte regular y de la estacional.
Inicialmente, la rutina Tramo determina el orden de integración de la serie observada una vez se han excluido los efectos calendario y los ouliers, es decir, busca determinar el orden del polinomio δ(L) de la ecuación (12b) sobre xt . El proceso identifica tanto las raíces regulares como las estacionales mediante un algoritmo que prueba un número máximo de dos diferencias regulares y una estacional en la ecuación (12b). Es decir, d ≤ 2 y D ≤ 1. Una vez se cuenta con una serie estacionaria (δ(L)xt ) se determinan los órdenes de los polinomios restantes (ϕ(L) y θ(L)). Para ello se utiliza otro algoritmo que evalúa los modelos candidatos de acuerdo con el criterio de información de Schwartz. La rutina prueba las combinaciones (p, q) ≤ 3 y (P, Q) ≤ 2.
En la etapa Seats, a partir de los órdenes (p, d, q)(P, D, Q)s obtenidos en Tramo, se modelan los diferentes componentes de la serie observada, en particular, la tendencia y la estacionalidad. En otras palabras, Seats divide el proceso xt en dos, en un componente estocástico no correlacionado (wt ) y una serie estocástica ajustada estacionalmente (vt ), de tal forma que xt = wt + vt . Luego, el procedimiento factoriza los polinomios obtenidos en Tramo asociando cada uno de ellos a wt y vt , respectivamente. El lector puede consultar Gómez y Maravall (2001a, b), Villareal (2005) y Maravall y Pérez (2011) para obtener más información respecto al proceso iterativo por medio del cual se obtienen las factorizaciones de los polinomios ϕ(L), δ(L) y θ(L) que se asocian a wt y vt .
3. Resultados: estimación de efectos calendario
Los resultados obtenidos mediante las metodologías descritas en la sección anterior muestran que la mayoría de industrias se ven afectadas por los efectos calendario de Semana Santa y días festivos, con excepción de subsectores como refinación de petróleo, sustancias químicas y vidrio (tabla 1). Los coeficientes encontrados tanto por la metodología TBATS como Tramo-Seats señalan que los efectos de la Semana Santa tienen una magnitud mayor que la de los días feriados. 8 Por ejemplo, para el total de la industria los estimadores asociados a la Semana Santa son −2,54 y −9,07 en cada método, mientras que los relacionados con los días feriados son −0,83 y −1,10, respectivamente.


Adicionalmente, se observa una gran heterogeneidad respecto al impacto que tienen los efectos calendario sobre las diferentes actividades dentro de la industria manufacturera. En el caso de la Semana Santa, en subramas como transporte, tabaco, calzado, muebles y caucho se aprecia un elevado coeficiente asociado a la presencia de la Semana Santa por encima de lo que resultó ajustado para la industria agregada. Para otras, aunque el efecto de la Semana Santa es significativo, su coeficiente es menor al que se observa a nivel agregado; este es el caso de manufacturas relacionadas con la elaboración de bebidas y de papel. Por otra parte, en cuanto a los días feriados, las estimaciones sugieren que las industrias donde el coeficiente tiene una magnitud mayor son calzado, maquinaria eléctrica, cuero y otros químicos. Así mismo, los días feriados no son significativos en imprentas, sustancias químicas, refinación y derivados de petróleo, vidrio, cerámica y otras.
En la tabla 2 se aprecia que los sectores más afectados en su tasa de expansión anual por los efectos calendario son tabaco, confecciones, cuero, maquinaria eléctrica y el grupo de otras industrias. Así mismo, se observa que los mayores impactos sobre las tasas de crecimiento de la industria se dan cuando la Semana Santa cambia de mes de un año al otro, ya sea de marzo a abril o viceversa. Para estimar el impacto de los efectos calendario se calcularon las diferencias en valor absoluto de la tasa de crecimiento anual de las series originales de los índices de producción industrial (no desestacionalizada) respecto a las variaciones anuales de las series ajustadas estacionalmente y modelando los efectos calendario (incorporando dummies para la Semana Santa y el número de días feriados en el mes). Así, las cuatro medidas 9 propuestas miden los cambios en las variaciones anuales de las series no desestacionalizadas respecto a la serie desestacionalizada: 10 i) incorporando los efectos calendario de Semana Santa y días feriados para todos los meses, ii) vinculando únicamente los meses en los cuales se presenta la Semana Santa, iii) tomando las fechas en las cuales se reportan días feriados y iv) ligando solo los meses en que la Semana Santa cambió de un año a otro (ya sea de marzo a abril, o viceversa).


En el caso del índice total, para las metodologías TBATS y Tramo-Seats se tiene que en promedio las diferencias en las variaciones anuales de la serie original y la desestacionalizada modelando efectos calendario son 2,825 % y 1,929 %, respectivamente. Esto indica que si en un determinado mes la industria está reportando un crecimiento anual del 5 % en la serie original, al modelar la estacionalidad y los efectos calendario probablemente la expansión podría ser corregida al 2,175 % y 3,071 %, respectivamente. 11
También llaman la atención los cálculos de las columnas (2) y (4) relacionados con los meses en que se presenta Semana Santa. En el primer caso, se tiene que las diferencias en valor absoluto en las tasas de crecimiento industrial entre la serie original y la ajustada estacionalmente incluyendo efectos calendario para los meses de Semana Santa es del 4,393 % y 5,171 %, de acuerdo con cada método. Por ejemplo, si un analista económico observa un crecimiento del 10 % en los meses de marzo o abril, no debería ser demasiado optimista sobre el dinamismo sectorial, ya que si se descuentan los efectos calendario seguramente la expansión fue de aproximadamente solo la mitad del dato original (5,607 % y 5,171 %, respectivamente). 12 En el caso opuesto, si en uno de esos meses la industria se contrae el 10 % en la serie original, el analista no debería sobrerreaccionar puesto que podría estimarse que la disminución fue menor a la reportada, alrededor del −5,607 % y −5,171 %. En ambos ejemplos la Semana Santa exacerba la dinámica de corto plazo de la industria, por lo que se dificulta vislumbrar algún cambio de tendencia y complica su análisis de la coyuntura.
Por su parte, la columna (4) presenta el mayor efecto sobre las expansiones anuales de la producción industrial, 4,924 % y 7,752 % para TBATS y Tramo-Seats. Este último fenómeno ocurre cuando la Semana Santa pasa del mes marzo al de abril, y el año inmediatamente posterior, al pasar de abril nuevamente a marzo.
Por último, los resultados sectoriales arrojan nuevamente la heterogeneidad existente en las diversas actividades que componen la industria, en este caso a través de la medición de los efectos calendario. Por ejemplo, en el caso de la refinería de petróleo, la Semana Santa tiene un escaso efecto alrededor de medio punto porcentual, 13 mientras que para las actividades de tabaco 14 y confecciones 15 el efecto es considerablemente mayor.
4. Conclusiones
Las series de tiempo económicas mensuales o trimestrales son influenciadas por fenómenos estacionales regulares y no regulares. Los primeros son aquellos relacionados al componente sistemático de la estacionalidad, mientras que los segundos pueden obedecer a patrones que cambian en el tiempo. Aunque esto parece inicialmente irrelevante porque se podría deducir que todos los meses tienen los mismos feriados todos los años, en algunas ocasiones se presentan situaciones particulares que modifican la disponibilidad de días hábiles para trabajar. Por ejemplo, cuando los feriados se ubican en el fin de semana, en febrero cuando el año es bisiesto o cuando la Semana Santa cambia de marzo a abril. Todos estos casos modifican el número de días hábiles en el mes.
En este documento se utilizaron la metodología Tramo-Seats de Gómez y Maravall (1994, 1996) y TBATS de De-Livera et al. (2011) que ajustan estacionalmente series de tiempo incorporando efectos calendario. Para ello se construyeron 27 grupos descritos en la tabla 3 del apéndice A, sobre un total de 44 subramas de actividad industrial en Colombia, para el período comprendido entre enero de 1990 y septiembre de 2014. Los resultados obtenidos sugieren que las actividades que componen la producción industrial en Colombia han estado influenciadas por efectos calendario, tales como los días festivos diferentes a domingo y la Semana Santa. Así mismo, las estimaciones muestran que las subramas que componen la industria pueden ser caracterizadas por diversos patrones, por lo cual hacer análisis a nivel agregado puede conducir a conjeturas erróneas dada la alta heterogeneidad en el desempeño económico sectorial. También es importante señalar que los coeficientes encontrados señalan que la Semana Santa tiene una magnitud mayor que la de los días feriados.
La evidencia estadística arrojada por los modelos estimados muestra que la mayoría de industrias se ven afectadas por los efectos calendario de Semana Santa y días festivos, excepto por la refinación de petróleo, las sustancias químicas y vidrio. En las industrias relacionadas con transporte, maquinaria no eléctrica y muebles, se observa que los coeficientes asociados a los efecto calendario son mayores que el resto de ramas. Las actividades en las cuales la Semana Santa impacta de manera más importante son tabaco, confecciones, cuero, maquinaria (eléctrica y no eléctrica) y transporte. Así mismo, las estimaciones muestran que los mayores impactos sobre las tasas de crecimiento de la industria se dan cuando la Semana Santa cambia de mes de un año al otro, ya sea de marzo a abril o viceversa.
De esta manera, toma relevancia el tener en cuenta las variaciones producidas por los cambios de ocurrencia de las diversas festividades, ya que la estacionalidad no regular (feriados y Semana Santa) puede influenciar el comportamiento de las series de manera transitoria. La corrección de dichos patrones de efectos calendario mejora la toma de decisiones de política y el análisis económico, y reduce la posibilidad de subestimar (sobrestimar) las variaciones de las series de tiempo económicas.
Referencias
Abril, D., Melo, L. F., & Parra, D. (2015). Heterogeneidad de los índices de producción sectoriales de la industria colombiana. Borradores de Economía 888, Banco de la República.
Box, G. E., & Cox, D. R. (1964). An analysis of transformations. Journal of the Royal Statistical Society, 26(2), 211-252.
Brockwell, P., & Davis, R. (1991). Time series: theory and methods (1st ed.). Springer.
Burdisso, T., Blanco, E., & Sardi, M. (2010). El ajuste estacional y los efectos del calendario doméstico en un agregado monetario para Argentina. Ensayos Económicos, 57(58), 145-186.
Cajiao, S., Melo, L. F., & Parra, D. (2014). Pronósticos para una economía menos volátil: el caso colombiano. Borradores de Economía 821, Banco de la República.
Dagum, E. (1988). The X-11-Arima seasonal adjustment method. Statistics document, Statistic Canada.
De-Livera, A. M., Hyndman, R., & Snyder, R. (2011). Forecasting time series with complex seasonal patterns using exponential smoothing. Journal of the American Statistical Association, 106(496), 1513-1527.
Findley, D., Monsell, B., Bell, W., Otto, M., & Chen, B. (1998). New capabilities and methods of the X-12-Arima seasonal adjustment program. Journal of Business and Economic Statistics, 16(2), 127-152.
Findley, D., & Soukup, R. (2000). Modeling and model selection for moving holidays. En Proceedings of the American Statistical Association, Business and Economics Statistics Section (pp. 102-107).
Flaig, G. (2003). Time series properties of the German monthly production index. Technical report, CESifo working paper.
Gómez, V., & Maravall, A. (1994). Estimation, prediction, and interpolation for nostationary series with the kalman filter. Journal of the American Statistical Association, 89(426), 611-624.
Gómez, V., & Maravall, A. (1996). Programs Tramo (time series regression with Arima noise, missing observations, and outliers) and Seats (signal extraction in Arima time series). Instructions for the user. Documento de trabajo, Ministerio de Hacienda (España).
Gómez, V., & Maravall, A. (2001a). Automatic modeling methods for univariate series. En D. Peña, G. C. Tiao, & R. S. Tsay (Eds.), A course in time series analysis (pp. 171-201). Wiley Online Library.
Gómez, V., & Maravall, A. (2001b). Seasonal adjustment and signal extraction in economic time series. En D. Peña, G. C. Tiao, & R. S. Tsay (Eds.), A course in time series analysis (pp. 202-247). Wiley Online Library.
Hyndman, R., Koehler, A. B., Ord, J. K., & Snyder, R. D. (2008). Forecasting with exponential smoothing: the state space approach. Springer.
Maravall, A., & Pérez, D. (2011). Applying and interpreting model-based seasonal adjustment, the Euro area industrial production series. Documentos de Trabajo 1116, Banco de España.
Melo, L. F., & Parra, D. (2014). Efectos calendario sobre la producción industrial en Colombia. Borradores de Economía 820, Banco de la República.
Morales, E., Espasa, A., & Rojo, M. (1992). Univariate methods for the analysis of the industrial sector in Spain. Investigaciones Económicas, 16(1), 127-149.
Parra, D., & Pirajan, J. (2013). Efectos calendario sobre la actividad económica en Colombia. Informe de inflación, recuadro 1, 2013-06, Banco de la República.
Villareal, F. (2005). Elementos teóricos del ajuste estacional de series económicas utilizando X-12-Arima y Tramo-Seats. Documento de trabajo, Cepal-División de Estadística y Proyecciones Económicas.
Zhang, X., McLaren, C. H., & Leung, C. (2001). Applications: an Easter proximity effect: modelling and adjustment. Australian and New Zealand Journal of Statistics, 43(3), 269-280.
Apéndice A
Descripción de las series



Apéndice B
Estimaciones de las metodología TBATS y Tramo-Seats
En este apéndice se presentan los resultados de las estimaciones asociadas a las metodologías TBATS y Tramo-Seats para el índice de producción industrial agregado (total) y los 27 subsectores industriales analizados en este documento.
Los resultados obtenidos a través de la metodología TBATS, y que pueden verse en la tabla 4, se enmarcan en la descomposición de una serie temporal, dada por: 16
[13]donde yt (w) es la serie transformada con Box-Cox; lt es el nivel de la serie que depende de la estimación de los parámetros de suavizamiento ϕ y α; bt es la tendencia que requiere estimar ϕ y β; st (i) representa la i-ésima componente estacional que necesita de γ, s y k; y dt es un modelo ARMA (p, q).
Por su parte, la estimación de la metodología Tramo-Seats mostrada en al tabla 5 parte de expresar yt como:
[14]
[15]con
[16]
[17]
[18]donde ϕ(L), δ(L) y θ(L) son polinomios finitos en L,ε xt i.i.d. ~N(0,σ2) indica el número de observaciones por año y los tres polinomios están relacionados con los factores estacionales del modelo Arima, en general la estructura viene dada por el orden (p, d, q) (P, D, Q) s . Así, p y P son los órdenes de los autorregresivos regulares y estacionales, d y D es el número de diferencias regulares y estacionales y q y Q son los órdenes de media móvil de la parte regular y de la estacional. Adicionalmente, las pruebas de diagnóstico sobre los residuales mostradas en la tabla 5 son:
SE(res): errores estándar
BIC: criterio de información bayesiano
Q-val: prueba Ljung-Box Pierce para verificar autocorrelación
N-test: prueba Jarque-Bera de normalidad
SK(t): t-valor para H0: asimetría = 0
KUR(t): t-valor para H0: curtosis = 3
QS: prueba Pierce Qs para autocorrelación estacional
Q2: estadística Q para autocorrelación en residuales al cuadrado
RUNS: prueba t de aleatoriedad




Notas
*
Los autores son, en su orden, asistente de
investigación, econometrista principal de la Unidad
de Econometría y profesional experto del Departamento de Programación e
Inflación del Banco de la República. Los resultados y opiniones son
responsabilidad exclusiva de los autores y su contenido no compromete al Banco
de la República ni a su junta directiva. Esta investigación es el resultado de
la compilación de dos borradores previos sobre el estudio de dicho fenómeno
—ver Melo y Parra (2014) y Abril et
al. (2015)—.
1
Los efectos calendarios compuestos brindan la opción de incorporar diferentes tipos de calendario (e. g. gregoriano, chino, hebreo, etc.).
2
Un modelo TBATS requiere la estimación de 2(k
1 + k
2 + … + kT
) valores estacionales iniciales, un número mucho más pequeño que el número de parámetros estacionales en BATS. La mayoría de componentes estacionales requerirá de pocos armónicos, lo cual reduce el número de parámetros estimados. La selección del número de armónicos para cada frecuencia estacional se encuentra explicada en De-Livera et al. (2011).
3
Su representación estado-espacio puede verse en De-Livera et al. (2011) y Melo y Parra (2014).
4
Partiendo de que la verosimilitud es concentrada, se multiplica por -2 y se omiten términos constantes.
5
La selección del modelo se hace a través del criterio de información de Akaike (AIC).
6
Tramo es la sigla de time series regression with Arima noise, missing values and outliers y Seats, la de signal extraction in Arima time series.
7
Para un outlier aditivo (AO) se tiene que Di
(L) = 1, para uno transitorio (TC) se tiene que Di
(L) = 1 / 1 – 0,7L y para uno de cambio de nivel (LS) se tiene que Di
(L) = 1 / 1 – L.
8
Las estimaciones para estas dos metodologías se presentan en las tablas 4 y 5 del apéndice B.
9
Columnas (1) a (4).
10
El cálculo se realiza como la diferencia de los valores absolutos de las variaciones anuales de la serie original y las desestacionalizadas incorporando efectos calendario.
11
La diferencia en valor absoluto entre el 5 % y 2,825 % es 2,175 % para el TBATS. Esto también puede ser verificado para Tramo-Seats.
12
La diferencia en valor absoluto entre el 10 % y 4,393 % es 5,607 % para el TBATS. Se puede realizar el mismo cálculo para Tramo-Seats.
13
El 0,708 % para TBATS y el 0,562 % para Tramo-Seats.
14
El 5,818 % para TBATS y el 13,469 % para Tramo-Seats.
15
El 10,336 % para TBATS y el 7,552 % para Tramo-Seats.
16
Las formas funcionales de cada componente temporal fueron mostradas en la sección 2.4.1 de este documento.
Información adicional
Para
citar este artículo: Abril, D. S., Melo, L. F., & Parra, D. (enero-junio,
2016). Impacto de la Semana Santa sobre los índices de producción sectoriales
de la industria colombiana. Revista de
Economía del Rosario, 19(1), 57-84. Doi: dx.doi.org/10.12804/revistas.urosario.edu.co/economia/a.5241


