10.12804/revistas.urosario.edu.co/territorios/a.13233
Sección General
Luisa Maldonado López 1
Carlos Jerves-Córdova 2
1 Investigador independiente.
luisa.maldonadol28@ucuenca.edu.ec.
0009-0007-9825-6598
2 Universidad Nacional de la Plata.
carjerves@hotmail.com.
0000-0003-1231-6443
Recibido: 3 de mayo de 2023
Aprobado: 7 de abril de 2025
Para citar este artículo: Maldonado López, L., & Jerves-Córdova, C. (2025). Presupuestos participativos y necesidades básicas insatisfechas. Una aproximación socioespacial en el Distrito Metropolitano de Quito. Territorios, (53), 1-19. https://doi.org/10.12804/revistas.urosario.edu.co/territorios/a.13233
RESUMEN
Los mecanismos de participación ciudadana son una herramienta que vincula a la ciudadanía con el manejo de los recursos públicos para ejecutar políticas en beneficio de sus territorios. Una vinculación gobierno-ciudadanía son los presupuestos participativos (PP), asignados por parroquia utilizando parámetros de población, pobreza por Necesidades Básicas Insatisfechas (NBI) y densidad demográfica. Este trabajo toma como estudio de caso el Distrito Metropolitano de Quito (DMQ), realizando un análisis comparativo entre NBI y PP, para identificar su distribución espacial. Es una investigación socioespacial a través del uso de sistemas de información geográfica y la aplicación de una evolución espacial de los PppP de 2016 a 2019 y el índice de Morán univariado. Los resultados muestran que las parroquias del DMQ se encuentran agrupadas espacialmente tanto en los PP como en las NBI y que la asignación de recursos no se otorga necesariamente en parroquias con mayor índice de NBI. Se concluye que existen diferencias presupuestarias y de necesidades donde la zona céntrica es más favorecida sobre las zonas norte y sur del DMQ, existiendo predominancia del área urbana sobre la rural.
Palabras clave: Presupuestos participativos; NBI; participación ciudadana; ciudad; espacial; Ecuador.
ABSTRACT
Participatory budgeting mechanisms link citizens with public resources management to execute public policies for the benefit of their territories. A link government-citizens is the participatory budgeting (PP, Spanish acronyms) assigned for each parish using parameters, such as population, poverty due to unsatisfied basic needs (NBI, Spanish acronyms), and population density. This work uses as a case study the Metropolitan District of Quito (DMQ, Spanish acronyms) performing a comparative analysis between NBI and pp, to identify their spatial distribution. It's socio-spatial research through the use of geographical information systems and the application of a spatial evolution of pp from 2016 to 2019 and the univariate Moran's index. The results show that the parishes of the DMQ are spacially grouped both in the pp and the NBI and that the resource allocation doesn't necessarily occur in parishes with a higher index of NBI. Is concluded that there are budget and needs differences, where the central area is more favored than the north and south areas of DMQ; there is predominance
Keywords: Participatory budgeting; NBI; citizen participation; city, spatial; Ecuador.
Resumo
Os mecanismos de participação cidadã são ferramentas que vinculam a cidadania à gestão dos recursos públicos, a fim de implementar políticas em benefício de seus territórios. Uma forma de conexão entre o governo e os cidadãos é por meio de orçamentos participativos (OPS), alocados por paróquia com base em parâmetros como população, necessidades básicas insatisfeitas (NBIS) e densidade populacional. Este artigo adota o Distrito Metropolitano de Quito (DMQ) como estudo de caso, realizando uma análise comparativa entre os indicadores de NBIS e os recursos distribuídos por meio dos ops, com o objetivo de identificar sua distribuição espacial. Trata-se de uma pesquisa socioespacial, que utiliza sistemas de informações geográficas e aplica uma análise da evolução espacial do OP de 2016 a 2019, além do índice univariado de Moran. Os resultados indicam que as paróquias do DMQ apresentam agrupamentos espaciais tanto em relação aos OPS quanto às NBIS, e que a alocação de recursos não ocorre necessariamente nas paróquias com maior índice NBIS. Conclui-se que existem disparidades orçamentárias e de necessidades, sendo a região central mais favorecida em comparação com as zonas norte e sul do DMQ, com predominância da área urbana sobre a rural.
Palavras-chave: Orçamento participativo; NBI; participação cidadã; cidade; análise espacial; Equador.
Introducción
Los gobiernos dentro de los procesos democráticos se han constituido de acuerdo con su capacidad de presentarse como legítimos; y su mantenimiento dentro del poder está ligado a la aceptación popular, por lo que el rol de la ciudadanía es fundamental dentro de un Estado en democracia (Dahl, 1994). El mecanismo vinculativo es la participación ciudadana, ya que es la opción, por parte de la ciudadanía, para incidir en las políticas públicas territoriales y, por parte del gobierno, de ganar legitimidad; además de permitir un diagnóstico de las necesidades desde los actores locales y efectuar un proceso consensuado de intervención territorial (Espinosa, 2009).
Los presupuestos participativos (PP) buscan "la mejora en la gestión local, la mejor redistribución de los recursos, la participación ciudadana y la política" (Llamas, 2004, p. 325); aquello es más factible a una escala menor como son los gobiernos locales, pues se tienen mayores relaciones de proximidad. Por tanto, es importante el carácter espacial en la participación ciudadana, pues nos ayuda a visualizar cómo están territorialmente distribuidas las acciones participativas.
En la misma línea, Landau (2008) teoriza sobre la metáfora espacial, en cuanto existe una preconcepción de que, ante la ineficiencia y alejamiento del gobierno, la participación ciudadana permitirá acercar estos vínculos; con esta premisa, se fomentará el participar, pues los ciudadanos se aproximarán. Sin embargo, es más complejo, dado que es necesario entender las condiciones sociales y el encadenamiento de los procesos participativos hacia una materialidad territorial.
Los presupuestos participativos manejan dos aspectos de la participación ciudadana: por una parte, la asignación presupuestaria, según los parámetros técnicos territoriales, y por otra, la discusión y consenso en la asamblea ciudadana para elegir el mejor destino de los recursos en referencia a cómo deben ser invertidos. Es decir, se refleja una posición de poder de la democracia representativa sobre la participativa, pues es la administración local (representantes) la encargada de establecer las asignaciones por parroquia, y con base en estos montos, la ciudadanía los discute y distribuye territorialmente, aunque las acciones ciudadanas se encuentren subyugadas a los mecanismos de carácter institucional.
Los PP requieren una delimitación de la población objetivo, recursos económicos y la priorización de las necesidades para generar asignaciones presupuestarias acorde a la realidad en los barrios (Puentes, 2018). Para explicar la calidad de este mecanismo, Wampler (citado en Puentes, 2018) explica el caso brasileño:
Cuando las administraciones cuentan con amplios recursos económicos es más probable que los ciudadanos puedan seleccionar directamente los resultados de las políticas públicas; en otras palabras, a mayor flexibilidad financiera, mayor la influencia que los ciudadanos pueden ejercer sobre la selección de los proyectos que quieren implementar. (p. 138)
En el contexto latinoamericano, Castro y otros (2019) exponen el caso de Bogotá en Colombia, donde evidencian que los presupuestos participativos no tienen sentido lógico práctico si no llegan a resolver las problemáticas ciudadanas; por lo tanto, es necesaria la identificación de actores locales que garanticen un pluralismo representativo. De igual forma, Noriega y otros (2016), en un estudio de caso en las comunas de Lautaro, Río Negro y Puerto Montt en Chile, mencionan que los PP, para que sean efectivos, deben ser trabajados en la diversidad, pero requieren inclusividad de los sectores sociales y grupos organizados, pues son capaces de plasmar sus consignas.
En el Ecuador, se encuentra vigente la Ley Orgánica de Participación Ciudadana (2010), que en su Art. 67 define a los pp como "el proceso mediante el cual, las ciudadanas y los ciudadanos, de forma individual o por medio de organizaciones sociales, contribuyen voluntariamente a la toma de decisiones respecto de los presupuestos estatales, en reuniones con las autoridades electas y designadas".
Para Allegretti y otros (2011), el éxito de los presupuestos participativos está en su condición de ser discutidos con la ciudadanía y existan posibilidades reales de materializarse en territorio. Es decir, es necesario un carácter deliberativo y vinculativo que se evalúe a través de resultados tangibles. Asimismo, el implementar un mecanismo de participación ciudadana requiere una movilización y ejecución de recursos, tanto de naturaleza económica como de talento humano por parte del Estado, por lo tanto, demandan ciudadanos informados y capacitados que demuestren interés en lo público (Montoya, 2018).
La evolución de Quito y de Quitumbe en particular, tiene la misma lógica según la cual se han organizado las grandes ciudades de Sudamérica: por un lado, en el norte, se asentó la población económicamente pudiente y se estableció el nuevo centro urbano; por otro lado, hacia el sur, fue relegada la población menos favorecida y se impuso que sea el lugar donde funcione el sector industrial (Gallegos et al., 2003). El Distrito Metropolitano de Quito (DMQ) experimenta un fenómeno de urbanización acelerada y un crecimiento económico con disparidad, dado que la concentración de recursos está centrada en la zona urbana, lo cual ha permitido avances en infraestructura, cobertura y acceso a servicios básicos, además de la creación de fuentes de empleo, mientras que la ruralidad enfrenta índices altos de NBI.
En cuanto a participación ciudadana, el DMQ dispone de una Secretaría de Coordinación Territorial y Participación Ciudadana, la cual institucionaliza los presupuestos participativos que se encuentran regulados en el Código Municipal. Así, el Sistema Metropolitano de Participación Ciudadana y Control Social contempla, en el Título II, Libro 3 del Código Municipal, que la gente debe decidir sobre al menos el 60 % del presupuesto de inversión de las Administraciones Zonales (DMQ, 2018). De este 60 % del presupuesto para la asignación parroquial, el DMQ debe tener en cuenta tres factores con los siguientes porcentajes: "población (40 %), pobreza por NBI (30 %) y densidad demográfica (30 %)" (DMQ, 2018, p. 15). Empero, el alcance de la participación y los mecanismos institucionalizados por las políticas públicas están condicionados por ciertas desigualdades de acceso, pues a decir de Cunill (como se citó en Villarreal, 2009): "estos nuevos instrumentos son monopolizados por aquellos actores no gubernamentales con mayor habilidad y capacidad de organización e influencia efectiva, con lo que la institucionalización de la participación contribuiría paradójicamente a ampliar y profundizar la exclusión" (p. 118).
Para este estudio nos centramos en el índice de Necesidades Básicas Insatisfechas (NBI), comúnmente llamado índice de la pobreza, el objetivo de este índice es identificar las poblaciones más vulnerables y de esta manera enfocar la política pública hacia ellos. La idea de tener en consideración el NBI en conjunto con los PP es regirse por criterios de justicia y equidad que garanticen una verdadera cultura democrática. Por ello, se debe tener una priorización de garantías participativas, puesto que:
la pobreza es un condicionante de la participación en términos generales, pues priva al individuo de hacer parte del proceso (...) y niega el acceso de ciertos recursos necesarios para el ejercicio de la ciudadanía, y por ende limita su capacidad de integrarse a la comunidad. (Castro et al.,2019, p. 157)
Es necesario entender que se deben tener unos "prerrequisitos de inclusión democrática" (Martínez, 2011, p. 32) para poder participar, al menos en cuanto a las necesidades básicas, de manera que exista un compromiso del Estado de garantizar condiciones dignas. Así, se trata de no solamente tomar en cuenta los parámetros técnicos de las NBI, que es un componente de los presupuestos participativos, sino el acceso a los mecanismos de participación de aquellos que tienen mayores carencias y qué alternativas existen para que se dé una vinculación efectiva en tiempos, decisión y seguimiento.
El índice se expresa de manera porcentual e implica la privación de alguna de las dimensiones, por lo que se realiza la identificación de una población con necesidades básicas insatisfechas (Instituto Nacional de Estadística y Censos, 2020). Como podemos ver en la tabla 1, las cinco dimensiones son condiciones básicas para una vida digna, y por ello, fundamentales para que se otorgue una participación ciudadana efectiva, pues solo atendiendo a las condiciones básicas, los ciudadanos serán capaces de incorporar esfuerzos en la construcción de sus territorios.
El NBI contempla cinco factores que se detallan en la tabla 1.
Tabla 1. Dimensiones del indicador de Necesidades Básicas Insatisfechas (NBI)
1 |
Capacidad económica. |
2 |
Acceso a educación básica. |
3 |
Acceso a vivienda. |
4 |
Acceso a servicios básicos. |
5 |
Hacinamiento. |
Fuente: INEC (2020).
El interés académico de esta investigación es ahondar en cómo se distribuyen espacialmente los Presupuestos Participativos y el NBI en el DMQ. La hipótesis de partida que se plantea es que las parroquias del DMQ se encuentran agrupadas entre sí espacialmente tanto en los presupuestos participativos como en las necesidades básicas insatisfechas, formando ciertos espacios de clústeres. A más de ello, desde lo espacial se identifica que la asignación de presupuestos participativos no se da necesariamente a las parroquias con mayores necesidades básicas insatisfechas, sino que existen otros pesos como la población y densidad demográfica.
Metodología
Para el desarrollo de esta investigación es esencial entender que el análisis a nivel espacial es "una serie de técnicas matemáticas y estadísticas aplicadas a los datos distribuidos sobre el espacio geográfico, (...) y posibilita trabajar con las relaciones espaciales de las entidades contenidas en cada capa temática de la base de datos geográficos" (Buzai, 2010, p. 2). Aquello implica asimilar la localización como la ubicación a un nivel geográfico de cualquier información, es decir, todo dato puede ser colocado a un nivel espacial. También es fundamental el concepto de distribución espacial "como la frecuencia con la que distintas características aparecen en el espacio geográfico; y la asociación espacial como el grado de semejanza-diferencia entre los distintos atributos medidos en las unidades espaciales" (Humacata, 2014, p. 123). Asimismo, es el espacio donde se efectúan las dinámicas sociales, posibilitando el entendimiento a un nivel territorial de relación con el entorno. En este caso, nos permitirá comprender cómo se conforman, a una escala parroquial, los presupuestos participativos y el NBI de manera que visibilicemos a través de un mapa la manera en que se distribuyen espacialmente los datos.
El artículo utiliza una metodología de carácter cuantitativo y socioespacial, tomando como caso de estudio al Distrito Metropolitano de Quito en un nivel de análisis parroquial. Por la parte cuantitativa se emplea, como fuente principal de información, las actas de las asambleas ciudadanas parroquiales de la administración municipal del DMQ de los años 2016, 2017, 2018 y 2019, con las que se generó una base de datos con las asignaciones de presupuestos participativos por parroquia y los datos del NBI del DMQ del Instituto Nacional de Estadística y Censos.
Es valioso recalcar que las asambleas participativas definen los presupuestos participativos del año siguiente, por ejemplo, el Presupuesto participativo 2016-2017 hace referencia a la asamblea ciudadana del año 2016 y al presupuesto participativo que se asignará en el año 2017. Ahora, desde la parte espacial se utiliza los shapefiles1 de la base de datos de gobierno abierto del DMQ de la visión político-administrativa por parroquia. En resumen, las variables que se van a utilizar son: presupuestos participativos, NBI y parroquia.
El procesamiento de los datos cuantitativos se realizó mediante el uso del programa informático SPSS, mientras que los protocolos de geoprocesamiento socioespacial se realizaron con QGIS. A continuación, se importaron los datos de presupuestos participativos y NBI y su unión con el shape de parroquias del DMQ. Se utilizó el programa GeoDa para medir la autocorrelación espacial en los presupuestos participativos y el NBI del año 2018 a través del índice de Morán "basado en las ubicaciones y los valores de las entidades simultáneamente, donde un conjunto de entidades y un atributo asociado, evalúan si el patrón expresado está agrupado, disperso o es aleatorio" (ESRI, 2020). Es decir, esto nos permite la identificación de clústeres o zonas de asociación de un grupo de datos específico. Este índice permite:
la autocorrelación espacial [...] definida como el fenómeno por el cual la similitud locacional (observaciones próximas espacialmente) se une con la similitud de valores. De este modo, valores altos o bajos de una variable aleatoria tienden a agruparse en el espacio (autocorrelación espacial positiva), o bien se sitúan en localizaciones rodeadas de unidades vecinas con valores disímiles (autocorrelación espacial negativa). (Martori, 2008, p. 2)
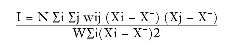
El índice de Morán se calcula con la siguiente fórmula:

Donde:
N es el número total de unidades espaciales (por ejemplo, barrios o zonas).
Xi y Xj son los valores de la variable de interés en las ubicaciones i y j.
X- es el promedio de la variable en todo el espacio.
wij es un peso espacial que indica la relación entre las unidades i y j (por ejemplo, si son vecinos o no).
W es la suma de todos los pesos espaciales wij.
Interpretación:
Si I > 0, hay autocorrelación positiva (valores similares están cerca unos de otros).
Si I < 0, hay autocorrelación negativa (los valores son opuestos en zonas cercanas).
Si I ≈ 0, la distribución es aleatoria (no hay un patrón espacial claro).
Además, en QGIS se realizó una evolución espacial para observar en los mapas los cambios más significativos en las asignaciones de presupuestos participativos desde el año 2016 al 2020. Al realizar la evolución espacial, se entiende que corresponde a un componente histórico, por lo tanto requiere de diversos espacios temporales, en este caso, cuatro periodos de tiempo específicos. También es necesario mencionar que todo cambio a nivel espacial, y sobre todo relacionado con las ciudades, se da en un sistema complejo, pues cualquier cambio en política pública o gestión territorial puede modificar las dinámicas a un nivel espacial (Baxendale & Buzai, 2011). A esto hay que sumarle lo fundamental de la contextualización histórica, la cual permite evidenciar características que no solo se pueden reflejar espacialmente, pero que constituyen relatorías valiosas de información de la conformación territorial.
Finalmente, se realizó un mapa con el uso de centroides, el cual visualizó los presupuestos participativos del año 2018 y el graduado en una paleta de colores para representar las NBI del año 2018, de manera que se pueda describir de mejor forma los datos parroquiales del año 2018 a un nivel socioespacial.
Es sustancial, para este apartado metodológico, rescatar los aportes de Buzai y otros (2010) sobre las fases del proceso metodológico con una aplicación de sistemas de información geográfica. En un primer momento, surge la fase conceptual, apartado que se ha desarrollado en este trabajo con la definición de presupuestos participativos y NBI; a continuación, la fase conceptual metodológica, que conecta la teoría, los antecedentes investigativos y los procesos metodológicos previos aplicados abordada a través de la exposición de otros casos de estudio y el abordaje espacial de la participación; seguidamente, la fase metodológica técnica donde se explica las bases de datos, geoprocesamientos utilizados y marco interpretativo, en este caso, el apartado metodológico sobre los conceptos espaciales, índice de Morán y evolución espacial, y, para finalizar, la fase de transferencia que sería la escritura de este trabajo final, pues comparte la investigación realizada hacia la comunidad académica.
Resultados
Como podemos observar en la figura 1, se presenta la evolución de los presupuestos participativos por área en el DMQ desde el año 2016 al 2020. En todos los años, los rubros asignados a la zona rural son menores a los asignados a la zona urbana y existe un crecimiento en los valores en los periodos 2016-2017 hasta el 2018-2019 y una posterior disminución en el presupuesto en el periodo 2019-2020. Adicional, el máximo valor asignado es de USD 15 497 187 en la zona urbana del periodo 2018-2019, mientras que el valor mínimo que se ha asignado es de USD 9 026 583 en la zona rural en el periodo 2016-2017.
Figura 1. Evolución de asignación de PP por área
Fuente: elaboración propia con base en los datos de las asambleas ciudadanas 2016-2019.
Figura 2. Mapa del PP por parroquia del DMQ 2016-2017
Fuente: elaboración propia con base en los datos de las asambleas ciudadanas del DMQ (2016).
Figura 3. Mapa del PP por parroquia del DMQ 2017-2018
Fuente: elaboración propia con base en los datos de las asambleas ciudadanas del DMQ (2017).
Figura 4. Mapa del PP por parroquia del DMQ 2018-2019
Fuente: elaboración propia con base en los datos de las asambleas ciudadanas del DMQ (2018).
Figura 5. Mapa del PP por parroquia del DMQ 2019-2020
Fuente: elaboración propia con base en los datos de las asambleas ciudadanas del DMQ (2019).
Desde la figura 2 hasta la 5, se puede observar la evolución espacial de las asignaciones presupuestarias participativas por parroquia en el DMQ. En el periodo 2016- 2017, solamente la parroquia de Calderón cuenta con una asignación mayor a los USD 900 000 dólares para presupuestos participativos, manteniéndose de esa manera hasta el periodo 2019-2020, mientras que otras parroquias han ido rotando el pertenecer a la asignación más alta: la parroquia de Perucho en el periodo 2017- 2018, las parroquias de Guamaní y Turubamba en el periodo 2018-2019 y las parroquias de Llano Chico y Quitumbe en el periodo 2019-2020. De igual forma, se puede observar que la zona norte recibe menor presupuesto participativo, estando entre los USD 100 000 y USD 300 000 por parroquia en los cuatro periodos. Entretanto, en la zona céntrica es en donde se concentran en su mayoría las asignaciones entre USD 500 000 y USD 900 000, especialmente entre las parroquias de La Ecuatoriana, Guamaní, Quitumbe y Turubamba, que se han mantenido con asignaciones superiores a la medida en todos los periodos de tiempo.
Por otra parte, es imprescindible analizar la situación en el periodo 2018-2019, pues es el único periodo de tiempo donde las parroquias del sur, como Pifo, Yaruquí, El Quinche y San Antonio de Pichincha, se ubican por encima de los USD 300 000 hasta los USD 500 000. Para el periodo 2019-2020 ha existido un fortalecimiento de las parroquias de El Condado, Tumbaco, San Juan. La Libertad, Solanda, La Ferroviaria, Conocoto, Puengasí, con una asignación entre USD 500 000 y USD 700 000 dólares en el periodo 2019-2020. A más de ello, espacialmente se puede apreciar en los mapas de los cuatro periodos que en la mayoría de los casos las parroquias periféricas son aquellas que perciben menor asignación presupuestaria, mientras que las céntricas son las que mayor presupuesto participativo reciben, esto está vinculado a la densidad demográfica y población.
También es importante considerar que los presupuestos participativos, como cualquier mecanismo de participación ciudadana, no solamente constituyen una cuestión económica, sino que corresponden a necesidades territoriales en un contexto específico, de pertinencia, vinculación transversal y articulación gobierno-ciudadanía (Montoya, 2018). Por ello, implica una movilización de personas y colectivos ciudadanos y una disputa de poderes: aspectos que deberían ser profundizados para comprender la dinámica de la evolución espacial de cada una de las parroquias.
Como muestra la figura 6, existe un valor p menor a 0.04, por lo que rechazamos la hipótesis nula y aceptamos la hipótesis alternativa; consecuentemente, existe autocorrelación entre los datos y asociación entre vecinos, por lo tanto, una aglomeración, generando ciertos clústeres. La autocorrelación conforme al índice de Morán es positiva con un 58 %, es decir, fuerte. Además, podemos apreciar en el gráfico que existe un clúster alto-alto, donde están parroquias con un porcentaje de NBI por encima del promedio rodeado de parroquias. De igual forma, superior al promedio, se encuentra en la zona norte, conformado por las parroquias de Gualea, Nanegalito, Nanegal, Calacalí, San José de Minas, Perucho, Chavezpamba y Atahualpa; otro cluster alto-alto está en el este del mapa con las parroquias de Pifo, Yaruquí, Guayabamba y el Quinche, ambos considerados conglomerados calientes. Por otro lado, existen dos clúster bajo-bajo en la zona céntrica de parroquias con NBI bajas inferiores al promedio: el grande compuesto por Quitumbe, Argelia, Solanda, San Bartolo, La Ferroviaria, Chimbacalle, Magdalena, Puengasí y Centro Histórico, y el otro, por las parroquias de Jipijapa, Kennedy, Concepción Cotocollao y Ponciano; ambos considerados conglomerados fríos.
Figura 6. Mapa del índice de Morán univariado por NBI del DMQ 2018
Fuente: elaboración propia con base en los datos del INEC (2018).
Respecto a la figura 7, al existir un valor p menor a 0.04, rechazamos la hipótesis nula y aceptamos la hipótesis alternativa, por lo tanto, existe autocorrelación entre los datos y asociación entre vecinos, y, en consecuencia, una aglomeración, generando clústeres. La autocorrelación con arreglo al índice de Morán es positiva moderada con un 11 %. También, se observa un clúster bajo-bajo donde están parroquias con presupuestos participativos inferiores al promedio en la zona norte, como Pacto, Gualea, Nanegalito, Nanegal, Calacalí, San José de Minas y Puéllaro, considerado un conglomerado frío. Finalmente, existe un clúster bajo-alto en la zona céntrica de parroquias con presupuestos participativos bajos, rodeados de parroquias con presupuestos participativos superiores a la media.
Figura 7. Mapa del índice de Morán univariado del presupuesto participativo por parroquia del DMQ 2018
Fuente: elaboración propia con base en los datos de las asambleas ciudadanas del DMQ (2018).
Al realizar un análisis comparativo entre los mapas de las figuras 6 y 7, es claro que existe una similitud en cuanto a un conglomerado caliente con NBI en la zona norte, muy similar al conglomerado frío de los presupuestos participativos en la misma ubicación. Lo anterior, por una parte, nos presenta que en el DMQ un índice más alto de necesidades básicas insatisfechas no implica una mayor asignación de presupuestos participativos por parroquia, y por otra, que las parroquias de estos dos conglomerados son geográficamente muy extensas. Es para reflexionar que dichas parroquias no representan aquellas con mayor población y densidad demográfica, factores que se toman en consideración en los presupuestos participativos.
Estos resultados hacen un llamado a la vigencia de los estudios de Llamas Sánchez (2004) sobre los presupuestos participativos en el sentido que, si bien son parte de un mecanismo de proceso abierto, es claro que las condiciones en las que la ciudadanía inicia no son las mismas, por lo tanto, es necesario un equilibrio de las condiciones que garanticen un acceso equitativo. Por otra parte, la metáfora espacial de Landau (2008), en cuanto a la proximidad del gobierno-ciudadanía adquiere validez, pues los presupuestos participativos son asignados mediante asamblea ciudadana que si bien parte de una posición de poder de los gobernantes, se plasman territorialmente en cada una de las parroquias.
La figura 8 representa un mapa donde los centroides corresponden a la asignación presupuestaria por parroquia con un gradado de colores en blanco y azul, mientras que del DMQ gradado de colores rojos. Se puede observar que las parroquias que se encuentran en las periferias del DMQ son aquellas que tienen mayores necesidades básicas insatisfechas, con un rango entre 65 % y 88,4 % en un total de 13 de las 65 parroquias, y con una menor asignación presupuestaria, en un rango entre USD 100 000 y USD 300 000, a excepción de Lloa y Pintag, que se encuentran entre USD 300 000 y USD 500 000.
Figura 8. Mapa del PP y NBI por parroquia del DMQ 2018
Fuente: elaboración propia con base en las asambleas ciudadanas del DMQ 2018 y en los datos de NBI del INEC (2018).
Mientras que en la zona céntrica refiere un menor NBI, en un rango entre 11 % y 17,8 %, en parroquias como Iñaquito, Carcelén, Mariscal Sucre, Kennedy, Rumipamba, Concepción y cuentan con asignaciones presupuestarias de ingresos medios. Por otra parte, Chillogallo, La Ecuatoriana, Quitumbe y Llano Chico, que forman parte de la zona centro-sur, tienen un mayor presupuesto participativo asignado, entre los USD 700 000 a los USD 900 000, y se encuentran en un NBI intermedio entre 17,8 % y 26 %. Finalmente, las parroquias con mayor presupuesto participativo asignado son: Turubamba, Guamaní y Calderón, con valores mayores a los NBI 900 000 y con un NBI entre el 26 % y 42,9 %.
Conclusiones y recomendaciones
Esta investigación desarrolla un análisis cuantitativo y socioespacial, donde evidencia una distribución desigual de los pp en relación con las necesidades básicas insatisfechas en el Distrito Metropolitano de Quito. Después de realizar las pruebas cuantitativas y espaciales, podemos afirmar que la pregunta de investigación se responde, pues a escala parroquial se ha mapeado la distribución espacial tanto de los PP como de las NBI, realizando además un análisis crítico de los datos en cuanto a la posibilidad de relacionarlos y explicarlos.
Se identifica una diferenciación en las asignaciones presupuestarias entre el área urbana y rural, siendo la primera la más beneficiada por el cálculo que realiza la administración municipal, puesto que esta metodología administrativa no considera los aportes de la ruralidad tanto en la soberanía alimentaria como en la identidad colectiva, limitando el desarrollo local. Con respecto a la hipótesis de partida, a través de la autocorrelación espacial, se identifican clústeres tanto en la zona céntrica como en la zona norte de la ciudad, demostrando que las parroquias con mayores necesidades básicas insatisfechas tienen presupuestos participativos inferiores al promedio. La evolución espacial en los periodos del 2016 al 2020 esclarece que tanto la zona norte como la zona sur tienen una asignación presupuestaria baja, sin cambios en el tiempo, mientras que la zona céntrica tiene incrementos presupuestarios moderados.
Con estos hallazgos, se sugiere varias recomendaciones. En primer lugar, complementar esta metodología cuantitativa y socioespacial con una metodología de carácter cualitativo, la cual permita profundizar los discursos, la narrativa y los factores históricos que expliquen la evolución espacial y proporcionen un panorama en diversidad de fuentes que robustezca el trabajo investigativo, dado que la participación ciudadana constituye un objeto de estudio de carácter interdisciplinario y configura el entendimiento de la dinámica de la ciudad.
Luego, realizar una revisión de criterios de asignación de los PP, puesto que redefinir mecanismos de cálculo presupuestario es fundamental para lograr una distribución equitativa de recursos; revisar parámetros socioeconómicos que garanticen la atención prioritaria a las poblaciones más vulnerables y con mayores índices de NBI. También, se debe entender que una debilidad de la investigación es la falta de información sobre NBI de los años 2016, 2017 y 2019, por ende, en futuras investigaciones debe considerarse la evolución espacial tanto de presupuestos participativos como de NBI.
Seguidamente, es trascendental trazar una planificación y ejecución presupuestaria resiliente a posibles crisis. La pandemia por Covid-19 reconfiguró la ejecución presupuestaria y la planificación territorial, pues las asignaciones de presupuestos participativos para el año 2020 cambiaron por la emergencia sanitaria y en el año 2021, tendrán una composición con valores alejados de la evolución de los años 2016 al 2019. Es por ello necesaria la búsqueda de alternativas y diseños estratégicos que mantengan la continuidad de los procesos participativos en contextos emergentes.
A la par, se debe fortalecer la participación ciudadana como eje central en la toma de decisiones presupuestarias, de manera que se promueva la corresponsabilidad y empoderamiento ciudadano, aportando en la toma de decisiones, optimizando el manejo de recursos públicos, impulsando la gestión de los gobiernos autónomos y contribuyendo al desarrollo local. Posteriormente, implementar un sistema de monitoreo para seguimiento y evaluación de la dinámica de los presupuestos participativos, su evolución e impacto en la reducción de las desigualdades territoriales en el DMQ.
En conclusión, se destaca que esta investigación aporta con información valiosa sobre la participación ciudadana y los PP desde una visión socioespacial, lo que otorga un potencial innovador. Los presupuestos participativos no solo representan valores económicos para la ejecución de obra pública, sino que suponen un instrumento que establece vínculos territoriales, la identidad colectiva con el barrio y la parroquia, construida en el entorno urbano, y fortalece el tejido social. En cuanto más grandes son las necesidades básicas insatisfechas, más necesaria es la distribución equitativa, tanto de rubros económicos como de oportunidades de participación ciudadana.
Notas
1 Un formato de archivos desarrollado por la compañía ESRI para el geoprocesamiento de datos espaciales.
Referencias
Allegretti, G., García, P., & Paño, P. (2011). Viajando por los presupuestos participativos: Buenas prácticas, obstáculos y aprendizajes. CEDMA.
Baxendale, C., & Buzai, G. (2011). Dinámica de crecimiento urbano y pérdida de suelos productivos en el Gran Buenos Aires (Argentina), 1869-2011: Análisis espacial basado en Sistemas de Información Geográfica. Serie Geográfica, (17), 77-95. http://hdl.handle.net/10017/14761
Buzai, G. (2010). Análisis espacial con Sistemas de Información Geográfica: Sus cinco conceptos fundamentales. En G. Buzai (Ed.), Geografía y Sistemas de Información Geográfica. Aspectos conceptualesy aplicaciones. GESIG, Universidad Nacional de Luján.
Buzai, G., Baxendale, C., & Cruz, M. (2010). Fases de un proyecto de investigación de Geografía Aplicada basada en el uso de Sistemas de Información Geográfica. En G. Buzai (Ed.), Geografía y Sistemas de Información Geográfica. Aspectos conceptuales y aplicaciones. GESIG, Universidad Nacional de Luján.
Castro, D., Guavita, L., & Martín, S. (2019). Condiciones habilitantes para los presupuestos participativos en Bogotá: Una perspectiva nacional e internacional. Forum. Revista Departamento de Ciencia Política, (16), 151-176. https://doi.org/10.15446/frdcp.n16.77200
Dahl, R. (1994). ¿Qué es la democracia? Revista Española de Investigaciones Sociológicas, (67), 306. https://doi.org/10.2307/40183749
Distrito Metropolitano de Quito (DMQ). (2018). Instructivo de presupuestos participativos 2017-2018. Secretaría General de Coordinación Territorial y Participación Ciudadana. http://gobiernoabierto.quito.gob.ec/Archivos/Transparencia/2017/10octubre/A3/ANEXOS/dmgda_instructivo_presupuestos_participativos_2017_vf.pdf
Distrito Metropolitano de Quito (DMQ). (2016-2020). Gobierno Abierto: Asambleas Parroquiales. http://gobiernoabierto.quito.gob.ec/?page_id=8230
Espinosa, M. (2009). La participación ciudadana como una relación socio-estatal acotada por la concepción de democracia y ciudadanía. Andamios, 5(10), 71-109. https://doi.org/10.29092/uacm.v5i10.169
ESRI. (10 de octubre de 2020). Autocorrelación espacial (I de Moran). https://desktop.arcgis.com/es/arcmap/la-test/tools/spatial-statistics-toolbox/ spatial-autocorrelation.htm
Gallegos, K., Unda, M., & Vivero, M. (2003). Construcción participativa de centralidades urbanas en Quitumbe. Centro de Investigaciones CIUDAD-novib.
Humacata, L. (2014). Aportes metodológicos del análisis espacial con Sistemas de Información Geográfica a la clasificación espacial en Geografía. Revista del Departamento de Ciencias Sociales, 3, 118-147.
Instituto Nacional de Estadísticas y Censos (INEC). (2020). Pobreza por necesidades básicas insatisfechas. https://www.ecuadorencifras.gob.ec/pobreza-por-necesidades-basicas-insatisfechas/
Landau, M. (2008). La participación en las políticas públicas y los límites de la metáfora espacial. Política y Cultura, (30), 67-89. https://polcul.xoc.uam.mx/index.php/polcul/article/view/1063
Llamas, F. (2004). Los presupuestos participativos: Nuevos mecanismos de innovación democrática en los gobiernos locales. Psychosocial Intervention, 13(3), 325-344. https://journals.copmadrid.org/pi/art/fca0789e7891cb-c0583298a238316122
Ley Orgánica de Participación Ciudadana [Quito, Ecuador]. Suplemento del Registro Oficial No. 175. 20 de abril del 2010.
Martínez, M. (2011). Dimensiones múltiples de la participación ciudadana en la planificación espacial. Revista Española de Investigaciones Sociológicas (reís), 133 (1), 21-41. https://doi.org/10.5477/cis/reis.133.21
Martori, J. (2008). Nuevas técnicas de estadística espacial para la detección de clusters residenciales de población inmigrante. Scripta Nova: Revista Electrónica de Geografía y Ciencias Sociales, 12(263). https://www.ub.edu/geocrit/sn/sn-263.htm
Montoya, C. (2018). Participación ciudadana y políticas de urbanismo en grandes ciudades [Tesis de doctorado, Universidad Complutense de Madrid]. Docta Complutense. https://hdl.handle.net/20.500.14352/16307
Noriega, A., Aburto, F., & Montecinos, E. (2016). Presupuestos participativos en Chile y su contribución a la inclusión social. Íconos, (56), 203-218. https://doi.org/10.17141/iconos.56.2016.1865
Puentes, J. (2018). El alcance de los presupuestos participativos en la implementación de políticas públicas. Summa Iuris (revista descontinuada), 6(1), 131-158. https://doi.org/10.21501/23394536.3107
Villarreal, M. (2009). Participación ciudadana y políticas públicas. En E. Guerra, Décimo Certamen de Ensayo Político (pp. 31-48). Comisión Estatal Electoral de Nuevo León.
