El reconocimiento del rol de las micro, pequeñas y medianas empresas (Mipymes) en la economía global y el desarrollo social ha crecido considerablemente en la literatura reciente (Doern, 2009). La importancia de esta variedad de empresa radica en que no es exclusiva de un sector económico, región o país en particular, sino que representa la estructura de negocios y la unidad productiva más común. Tanto así que las Mipymes desempeñan un papel clave en países del primer mundo y emergentes tanto por su contribución al PIB como por la generación de empleo. Adicionalmente, esta variedad de compañías tiende a ser altamente flexible, a la vez que promueve una mejor distribución del ingreso, a diferencia de sus contrapartes más grandes (Arbelo et al., 2018; Pérez-Gómez et al., 2018).
En América Latina y el Caribe se distingue una cantidad masiva de pequeñas empresas, y muchas enfrentan desafíos productivos. La brecha de productividad existente entre empresas grandes y pequeñas en la región tiende a explicar gran porción de su rezago económico frente a otras regiones del mundo (Daude et al., 2010; Hopenhayn & Neumeyer, 2004). Algunos factores que se asocian a esta brecha son: los altos costos de transporte y distribución, las restricciones al crédito, la volatilidad macroeconómica, el enfoque de los sistemas de tributación, la falta de innovación, la incorporación de tecnología, etc. (Busom & Vélez-Ospina, 2017; Pagés, 2010). Y aunque se invierte en política pyme desde los gobiernos locales, a menudo focalizada a contrarrestar las fallas de mercado, se cuenta con poca evidencia en torno a los canales que transmiten este impacto1 en el crecimiento de la productividad.
De acuerdo con el Departamento Nacional de Planeación (DNP)2 (2017), entre 1990 y 2015, en Colombia la variación anual de la productividad total de los factores (PTF) ha sido muy cercana a cero o negativa la mitad del tiempo, y la mayor parte del crecimiento de la economía se origina en variaciones del capital físico y humano, y no en el crecimiento en la productividad.
Dada la preeminencia de las Mipymes en la economía nacional, y en particular la apreciada en los microestablecimientos, y los desafíos en el aumento de la competitividad, así como la inyección de capital Tic, el análisis del desempeño de este tipo de unidades empresariales, señalando algunos de los factores que abocan a condiciones de operación subóptima, se presenta como esencial. La eficiencia técnica funciona como un indicador determinante de la productividad de una firma, al evaluar la capacidad de explotación de los factores productivos. Las estimaciones de eficiencia posibilitan a las compañías establecer su nivel de efectividad en el logro de sus objetivos y la administración de sus recursos.
Este documento desarrolla una medición de la eficiencia técnica en mi-croestablecimientos industriales para las principales áreas metropolitanas de Colombia utilizando técnicas paramétricas de cómputo de frontera esto-cástica a través de una función de producción tipo Cobb-Douglas. Por medio del modelo de Battese y Coelli (1995) se indaga la relevancia de algunos de los factores identificados en revisiones previas, como Busom y Vélez-Ospina (2017) y Pagés (2010), y por el Conpes 3527 de 2008, en la capacidad de las unidades de negocio para optimizar el uso de los factores y ubicarse en su frontera de producción, estableciendo la pertinencia de estos diagnósticos en el medio y la política empresarial colombiana.
Para empezar, se revisa el estado de los principales indicadores nacionales de productividad, distinguiendo rezagos asociados con el comportamiento del aporte al crecimiento de los factores de producción y las actividades económicas agregadas. Luego, se atiende el concepto de eficiencia técnica como indicador de desempeño relativo de las unidades empresariales y su correspondencia con la definición de productividad por medio del modelo formal tradicional. En la sección de la metodología, se aborda la aproximación econométrica para la estimación de los índices de eficiencia. En el aparte de datos, se describe la muestra analizada, así como se expone la metodología de seguimiento de los parámetros de interés.
Los resultados del ejercicio evidencian que el nivel de eficiencia técnica en costos promedio de la muestra de microestablecimientos industriales alcanza un 61.6 %, indicando que solo a través de una mejor disposición de los recursos la productividad podría mejorar cerca de 39 puntos porcentuales. Los niveles de eficiencia técnica de las áreas metropolitanas dentro del país se muestran superiores en promedio a aquellas de la periferia en aproximadamente 5.75 puntos. Las salidas también revelan que todos los determinantes analizados exhiben efectos relevantes para explicar los diferenciales de eficiencia entre las unidades estudiadas, con distintas implicancias.
En el último quinquenio antes de pandemia, el valor agregado bruto de la producción nacional ha crecido de manera positiva y estable alrededor del 6.7 % en promedio por año. Para el año 2019, este valor agregado alcanzó los 961 billones de pesos (corrientes), dando lugar a un crecimiento anual del 7.5 °% con respecto a 2018. Lo interesante de ese escenario es que, pese a que la contribución de la PTF ha sido positiva en el tiempo para explicar el comportamiento del valor agregado, su crecimiento se ha estancado de manera sistemática. En realidad, a pesar de que la productividad del trabajo exhibe lánguidos aumentos en los últimos años, que en el promedio anual le resultan en crecimientos del 0.2 %, la PTF persiste en contracción consecutiva.
Respecto a las contribuciones del capital al crecimiento del valor agregado en el período de referencia, se observa una tasa anual media de variación del 1.6 °%, primordialmente explicada por los aportes del capital no TIC (1.1 %), y en menor medida por el capital TIC (0.5 %).

Fuente: DANE. Elaboración y cálculos del autor.
Al examinar a nivel sectorial los aportes a la variación del valor agregado se aprecia, por una parte, que entre 2015 y 2019 las actividades económicas en las que se presentó mayor crecimiento medio fueron: agricultura, ganadería y pesca (11.7 °%); servicios públicos (10.3 °%); y comercio, alojamiento y restaurantes (9.9 %). En cambio, entre las actividades con la menor variación se encuentran: explotación de minas y canteras (-0.1 %); industrias manufactureras (4.5 °%); y financieras, inmobiliarias y de construcción residencial (6.7 °%). Relacionado con el desempeño de la PTF por sectores, se observan de manera generalizada decrecimientos a lo largo de todas las actividades económicas, con excepción de agricultura, ganadería y pesca (2.9 °%), así como financieras, inmobiliarias y de construcción residencial (1.8 °%). La mayor contracción de la PTF se evidencia en servicios públicos (-5.6 °%), seguido de explotación de minas y canteras (-2.4 °%), y, finalmente, industrias manufactureras (-2.1 %).
Para 2020 se estimó3 que el valor agregado nacional decreció en un 7.1 %, asociado a una contribución de la PTF del 0.7 °%, que a su vez es producto, por una parte, del detrimento en el aporte del factor trabajo en el 8.3 %, ocasionado a su vez por la reducción del indicador de horas laboradas en la economía en un 10.9 °%. Y, por otro lado, el aporte del capital del 0.49 °%, originado en las contribuciones del capital no TIC y el capital TIC, del 0.39 % y 0.1 %, respectivamente.
Se pueden resaltar algunos hechos sugerentes. Primeramente, la generación de valor agregado en el país, así como el crecimiento económico, se viene conduciendo exclusivamente por los aportes del capital humano y el capital físico, que en el tiempo pueden no ser sostenibles. A esto subyace que el incremento de la productividad históricamente se ha marginado. Además, se hacen patentes las dificultades de penetración y adopción de las tecnologías de la información en el medio productivo, cuando el aporte del capital TIC al crecimiento del valor agregado solo ronda el 0.5 °% anual; la industria y el sector de las telecomunicaciones no vienen exponiendo el protagonismo esperado en la gestión de procesos ligados a incrementos de la productividad, con respecto a otros sectores menos propensos a la innovación y a la inversión en capital, como lo son las actividades agropecuarias y las actividades de servicios financieros, inmobiliarios, y la construcción residencial.
Colombia, sin contar a Venezuela, es uno de los países con mayor dispersión de la productividad a nivel de empresas en América Latina (Busso et al., 2012; Romero et al., 2018). Conforme con datos del DANE reportados por el Ministerio de Trabajo, para 2019 las Mipymes representaron más del 90 °% del sector productivo en Colombia, aportaron el 35 % del PIB y generaron el 80 °% del empleo nacional. No obstante, resultados del Programa de Transformación Productiva (PTP) para 2017 mostraban que una pyme colombiana generaba cinco veces menor valor agregado que una empresa grande, y que, además, mientras solo 1 de cada 4 pymes lograba exportar, 3 de cada 4 grandes lo hacían.
Una porción significativa de las brechas en competitividad e innovación en el país, con respecto a la región y el mundo, se deben sustancialmente a la precaria situación productiva de las pymes (Melgarejo Molina et al., 2013; Montoya et al., 2010). Las dificultades que experimenta el ecosistema productivo nacional, identificadas en el marco del Conpes 3527 de 2008, en el que se conforma la política nacional de competitividad y productividad (tabla 1), exponen una radiografía de las principales barreras al crecimiento de la productividad en el medio empresarial.
El Global Competitive Index4 de 2019, elaborado por el World Economic Forum, y que conforma el ranking oficial de competitividad mundial, ubica a Colombia en la posición 57 entre 141 naciones. A través de los componentes del índice se conoce que, para el caso nacional, dimensiones como institucionalidad (49), adopción TIC (50), capital humano y habilidades (60), concentración y barreras de los mercados (53), flexibilidad e incentivos del mercado laboral (59) y capacidad de innovación (36) menoscaban en mayor medida las capacidades del país para alcanzar su frontera de competitividad y uso óptimo de los recursos.
La brecha es aún mayor para las firmas del sector de las manufacturas. Según datos de la Encuesta Anual Manufacturera de 2019, aunque las micro, pequeñas y medianas empresas figuran como el 89.7 % del tejido industrial nacional y aportan el 44 % del empleo del sector, solo generan el 37,2 % de la producción bruta y el 32,3 °% del valor agregado. Esto había sido identificado por Santa María et al. (2013) al determinar que, entre 1999 y 2009 el crecimiento de la PTF industrial había sido inferior con respecto al sector de servicios, y se había concentrado en las grandes y medianas empresas con vocación exportadora y con mayor capacidad de generación de valor agregado. En cambio, en las pequeñas empresas y en los sectores que producen principalmente para el mercado interno, la PTF se había estancado y en algunos casos hasta presentado cifras negativas.
El programa Colombia Productiva en 2017 explicaba que 8 de cada 10 empresas industriales no vienen implementando medidas para el aumento de la eficiencia y, en cambio, mantienen equipos de producción deteriorados con alto consumo energético. Otros aspectos incluyen la alta rotación del personal, elevados tiempos de producción y falta de certificaciones de calidad. El resultado general del informe indica que dos terceras partes de los problemas en el crecimiento de la productividad del país se atribuyen al funcionamiento del ecosistema empresarial.
El crecimiento económico depende del uso de los factores productivos (trabajo, capital y otros), su disposición eficiente y el progreso técnico. El grado de eficiencia con la que se utilizan los factores productivos, por medio de su configuración en el proceso productivo, suele denominarse productividad (Kathuria et al., 2011).
Típicamente, la medición de la productividad a nivel de establecimientos supone que la producción (output) es una función de los insumos (inputs) que la firma emplea, y la manera en que los utiliza, es decir, su productividad.5 A menudo se asume que esta interacción adquiere la forma de una función estilo Cobb-Douglas,6 aunque es frecuente apreciar el uso de otras especificaciones, como la función de producción de elasticidad constante (CES) y la formulación translogarítmica, siempre que se verifiquen ciertos supuestos7 de comportamiento. Específicamente, la tecnología de producción tradicionalmente formulada tiene la forma:
en la que Y it representa la producción física de la firma i en el período t. K it , L it y M it figuran como los insumos de capital, trabajo y materiales, respectivamente. En el caso de Ait, hace referencia a un nivel de eficiencia neutral hicksiana8 de la firma i en el período t. Esta formulación indica que la producción (Y) es una función de la productividad total de los factores (PTF) y de los insumos productivos mediante sus respectivas contribuciones (ßk, ß; y ßm). Un crecimiento en A, K, L o M conducirá a un aumento en la producción (Y). La productividad total de los factores (PTF) captura los efectos en la expansión de la producción que tiene el crecimiento en el uso de los factores de producción, y sus niveles están dados por la eficiencia con la que se utilizan los insumos en el proceso. En la práctica, aunque K it , L it y M it usualmente se conocen, A it no es observable9 para el empresario o el investigador.
Tomando logaritmos naturales se puede transformar (i) en:
en la cual las minúsculas indican logaritmos naturales, y
en la que ßo mide la eficiencia promedio entre las firmas en el tiempo; e it recolecta las desviaciones de ese promedio específicas de las firmas en cada período, que a su vez pueden descomponerse en factores observables y no observables. Lo anterior resulta en:
en la cual ω it = ßo + u it mide el nivel de productividad de la firma, y u q it es un componente que representa las desviaciones inesperadas de la media a causa de errores de medición, retrasos improvistos y otras circunstancias externas. Usualmente, se procede a estimar (ii) y se resuelve para ω it . Así, la productividad estimada se calcula como:
Y los niveles de productividad se obtienen como el exponencial de
La medida de la PTF generada como un residual de esta relación funcional se usa para
evaluar el impacto de variables de política a nivel de las empresas, y puede ser agregada
para la industria con el cálculo del indicador ponderado de
En adición a la rentabilidad y el valor agregado, de acuerdo con el modelo tradicional, los indicadores que a menudo se utilizan para evaluar el rendimiento productivo de las empresas son: la productividad física total de los factores (PTF), la productividad marginal del trabajo, la productividad marginal del capital y la productividad marginal de los insumos (tabla 3).
El concepto de eficiencia técnica propuesto por Farrell (1957) es la medida utilizada para establecer las condiciones de operación óptima de los mi-cronegocios. Esta mide la efectividad de una firma para alcanzar su nivel máximo de producción, dada una combinación de factores de producción. La eficiencia técnica se basa en la definición de frontera de producción, o conjunto factible de producción, que representa el nivel máximo de producción alcanzable para cada relación de uso de los factores (Coelli et al., 1998; Färe et al., 1994). Una firma se dice ser técnicamente eficiente si se ubica en la frontera del conjunto factible de producción, esto es, genera la máxima producción posible desde una relación mínima de uso de factores como trabajo y capital. En otras palabras, este indicador retrata la efectividad con que se usa un vector de insumos ( nputs) para conseguir la máxima proporción de producto (outputs).
Para ilustrar la relación entre la eficiencia técnica y la PTF de una empresa, se debe recordar que la primera solo atañe a la manera en la que se combinan los factores para conseguir el nivel de producción óptimo, indicado por la frontera del conjunto factible de producción. Sin embargo, una empresa técnicamente eficiente todavía puede aumentar su productividad al explotar sus economías de escala o aprovechar los efectos del cambio técnico. En general, las variaciones de la PTF provienen de alguna combinación de estos tres factores. Cambiar la escala de operaciones implica que la firma se mueva sobre su frontera de producción. Así mismo, impulsar cambios técnicos a través de la inversión en maquinaria o la introducción de una nueva política organizacional ocasiona el desplazamiento de la frontera de producción; aunque fomentar economías de escala y cambios técnicos puede ser difícil en el corto plazo, pues exigen tiempo de aprendizaje, adaptación y costeo, de modo que eficiencia y productividad tienen interpretaciones diferentes en función del marco temporal.
Para llevar a cabo el cómputo de los índices de eficiencia técnica relativa, se estiman funciones de producción implementando fronteras estocásticas (Battese et al., 2001; Battese & Coelli, 1995; Battese & Corra, 1977; Coelli et al., 1998). La ventaja de esta formulación es que facilita separar las causas de la ineficiencia en errores aleatorios e ineficiencia 'pura'. Algunos trabajos de referencia acerca de la medición de la eficiencia técnica en Colombia bajo este enfoque son Fontalvo et al. (2019), Quintero et al. (2012), Ruiz-Rodriguez et al. (2016), Shee y Stefanou (2014, 2016) y Trujillo e Iglesias (2013).
Se sigue la propuesta formulada por Battese et al. (2001), Battese y Coelli (1995), Battese y Corra (1977) y Coelli et al. (1998), introduciendo variables asociadas al uso de capital TIC, el acceso y disposición del crédito, la formalización, el género de los propietarios y un identificador del dominio geográfico, como determinantes de la ineficiencia para capturar diferenciales en las capacidades de acercamiento a situaciones de operación óptima. Esta aproximación aísla los elementos de heterogeneidad en la muestra al introducir controles individuales que explican los niveles de ineficiencia en los negocios. Entonces, bajo esta especificación, se estiman en dos etapas una función de producción y una de ineficiencia.
Para efectos de la propuesta de medición de la eficiencia por implementar, que será bajo el enfoque de la producción, formalmente se estima la eficiencia técnica como la relación de la producción Q en la empresa , y el nivel de producción más alto alcanzable Q max .
Una medición de la eficiencia técnica implica de base el conocimiento de la función de producción de las firmas en operación óptima. De acuerdo con Coelli et al. (1998), dado que en la realidad se desconoce la estructura de la función óptima, Farrell (1957) sugiere que puede ser aproximada esgrimiendo datos muestrales mediante una tecnología lineal no paramétrica, o bien, una función paramétrica de la forma Cobb-Douglas.
La segunda estrategia fue desarrollada por Aigner y Chu (1968). Básicamente, se considera la estimación de una frontera de producción paramétrica mediante una función tipo Cobb-Douglas en uso de una muestra de empresas. El modelo estándar se plantea de forma logarítmica como:
con i = 1, 2, ..., N, en la que ln (y i ) es el logaritmo natural del escalar de la producción del establecimiento .
x¡ es un vector fila (K+1) cuyo primer elemento es 1, y el restante lo comprende el logaritmo natural de los k factores usados por la empresa .
ß = (ßo, ßi, ßk) es un vector columna de (K+1) parámetros de elasticidad por estimar.
µ¡ es un vector no negativo10 asociado a la ineficiencia técnica en la producción de firmas.
Para Kumbhakar y Wang (2010), el término n¡ puede verse como la diferencia de logaritmos entre la producción máxima [estimada] y la factual.
Que es igual a
Reordenando, la tasa de la producción observada de la firma i, con respecto a su producción potencial, definida por la frontera, dado el vector de insumos, se usa para obtener un indicador de eficiencia técnica.
Este indicador compone una medición11 con enfoque de la producción de eficiencia técnica de Farrell (1957), que toma valores en el intervalo [0,1].
Y expone la magnitud del producto de la firma i en contraste con el producto potencial de una firma eficiente en uso del mismo vector de insumos
y tecnología. Entonces [(1− e μi ) ∗100%] viene viene a ser el porcentaje en el que la producción real puede aumentarse en uso del mismo vector de factores productivos, si el proceso fuera plenamente eficiente. Esta expresión manifiesta la proporción de la producción que se pierde a causa de ineficiencias técnicas (Kumbhakar & Wang, 2010).
Sin embargo, una de las principales críticas de esta formulación determinística12 es que no se tiene en cuenta la influencia de errores de medición y otro tipo de ruidos sobre la frontera. Por lo tanto, todas las desviaciones de la frontera se atribuyen a la ineficiencia. Algunos autores propusieron alternativamente como solución una función de frontera estocástica de producción en la que el error adicional aleatorio V¡ que es i.i.d. N(0, σv) se agrega a n¡. Este parámetro permite incluir información acerca de fallas de medición y otros factores aleatorios, como el estado del clima, huelgas, suerte, en el valor de la producción, en conjunción con la influencia combinada de variables de insumos no especificadas en la función de producción (Aigner et al., 1977; Meeusen & Van den Broeck, 1977).
Haciendo ε¡ = V¡ - µ ¡
El efecto de V¡ puede ser positivo o negativo, con lo que se varía el comportamiento determinístico de la frontera, pues ahora e (xiß + εi) pasa a ser estocástico. Como resultado, la metodología permite clasificar la distancia entre la situación real de las firmas y su frontera óptima en errores aleatorios e ineficiencia 'pura' (Färe et al., 1994).
Según la interpretación particular de Aigner et al. (1977), la intuición económica que sostiene esta especificación se basa en la idea de que el proceso productivo se encuentra sujeto a dos tipos distinguibles de perturbaciones económicas de carácter aleatorio, con atributos diferentes. Esta distinción facilita la estimación y la interpretación de los resultados del modelo.
La formulación en (3) refleja el hecho de que cada firma se ubica sobre o debajo de su frontera, y las desviaciones son el resultado de elementos en control de la empresa, tales como la eficiencia técnica y/o la eficiencia económica, la voluntad y el esfuerzo de los administradores y sus empleados, e, incluso, de circunstancias en las que los factores productivos son defectuosos y/o el producto está dañado.
En consecuencia, la frontera misma se modifica aleatoriamente entre firmas. Es en este sentido que se dice que la frontera es estocástica, con
una perturbación aleatoria vi
tanto favorables como desfavorables, como la suerte, el estado del clima, la topografía, el desempeño de la maquinaria13 e, incluso, fallas en la medición y el reporte de la información.
Otro resultado de esta formulación es que es posible estimar las varianzas de v ¡ y n ¡ para contrastar sus tamaños relativos. Así mismo, se modifica la aproximación a la medición de la eficiencia técnica descrita en (2), y que en principio debe ser:
que distingue la ineficiencia productiva de otras perturbaciones que trascienden el control de la empresa. En palabras de Aigner et al. (1977), un agricultor cuyos cultivos padecieron por la sequía, o una tormenta, es desafortunado de acuerdo con la medición (4), pero ineficiente en el marco de la medición (2).
Finalmente, como se comentaba, la formulación de Battese y Corra (1977) introduce la idea de que la ineficiencia es variable a través de las firmas. Bajo esta lógica, es razonable inquirir sobre los factores que influyen en la varianza de la eficiencia relativa. Para esto, Battese y Coelli (1995) extienden la propuesta general del modelo de frontera estocástica y sugieren que los determinantes de la ineficiencia individual pueden ser expresados como una función lineal de un conjunto de variables explicativas que reflejan un grupo de características propias de las empresas. Una de las superioridades operativas de la propuesta de Battese y Coelli (1995) es que brinda la capacidad de estimar el nivel de eficiencia de cada establecimiento, y los factores que explican las diferencias en la ineficiencia entre estos en una etapa posterior de la estimación.
Como se mencionó antes, según Battese y Coelli (1995) y Coelli et al. (1998), el modelo asume que el error aleatorio ν i es una variable aleatoria i.i.d. N(0, σ 2) e independiente de μ i . De la misma forma, μ i se considera una variable aleatoria no negativa i.i.d. N(0, σ 2), con distribución medio normal, en la que:
Así, Z i es un vector de variables que influencia la ineficiencia de los negocios, δ es un vector de parámetros por ser estimados y ε i comprende una variable aleatoria definida como truncada N(0, σ2), tal que μ i es definida positiva. Adicionalmente, se aplica la parametrización formulada por Battese y Corra (1977), en la que σ ν 2 y σ μ 2 se reemplazan por σ2 =σ ν 2 +σ μ 2 y a la vez γ =σ μ 2 /σ2. El modelo puede ser estimado con técnicas de estimación vía máxima verosimilitud.
La muestra del estudio se extrae de los microdatos ofrecidos por la Encuesta de Micronegocios del DANE. Los negocios se seleccionan a partir de su pertenencia a una de las áreas metropolitanas de interés, la correspondencia de sus actividades con aquellas definidas por el CIIU rev. 4 en la categoría de industrias manufactureras y, por supuesto, la tenencia de registros positivos de ventas en el último año de seguimiento. Además, se excluyó a los establecimientos con reporte vacío en los costos de los insumos y los costos de capital de manera simultánea. Se hizo lo propio para los microestablecimientos con carencias de información para las variables de la función de ineficiencia. Los datos fueron expandidos con factores poblacionales utilizados por la Gran Encuesta de Hogares (GEIH). La población final consta de 236 244 unidades productivas distribuidas en las áreas metropolitanas de interés.
Por definición, los micronegocios o microestablecimientos abarcan unidades económicas compuestas por un máximo de nueve personas ocupadas, que desarrollan una actividad productiva de bienes y/o servicios, con el propósito de obtener un ingreso. Se caracterizan por ser propietarios de los medios de producción, mantener una modalidad de labor independiente, y pueden ser operados por una única persona. En la práctica, las actividades económicas que realizan los micronegocios van desde una pequeña miscelánea de barrio hasta servicios de consultoría especializada. Se incluyen a las profesiones liberales, las ventas ambulantes y los negocios de confección dentro de las viviendas. Por lo tanto, se considera una masa productiva altamente heterogénea que puede desarrollar sus actividades en casi cualquier emplazamiento.
En 2019 se contabilizaron a través de la Encuesta de Micronegocios la presencia de 5 874 177 unidades de producción microempresarial en el país, distribuidas sectorialmente así: 27,9 % comercio y reparación de vehículos automotores y motocicletas; 21,7 %> agricultura, ganadería, silvicultura y pesca; 11,6 % industria manufacturera; 9,7 % actividades artísticas, de entretenimiento, de recreación y otras actividades de servicios; 8,5 % alojamiento y servicios de comida; 8,0 % transporte y almacenamiento; 5,7 % construcción; 3,8 % actividades inmobiliarias, profesionales y servicios administrativos; 1,1 °% información y comunicaciones; 0,8 %> minería; 0,7 %> actividades de atención a la salud humana y de asistencia social; y 0,6 % educación.
Igualmente, se encuentra que, de conformidad con la colocación de los micronegocios en las 24 ciudades principales del país, el 72,1 % de estos se concentra en las seis principales áreas metropolitanas: Bogotá D. C. (26,9 %), Medellín (13 %), Barranquilla (11,2 %), Cali (10,4 %), Bucaramanga (5,7 %) y Cartagena (4,4 %). Este resultado es coherente con los hallazgos de Balat y Casas-Lozano (2018) y Nieto (2016), en los que se evidencia empíricamente la relación positiva entre la aglomeración demográfica y la aglomeración de la actividad productiva. Según estimaciones de concentración de los mismos autores, más del 60 % de la producción y el empleo industrial se concentra en cinco sectores industriales; y, en términos geográficos, más del 60 % de la producción industrial se aglutinó en las áreas metropolitanas de Bogotá, Medellín, Cali y Cartagena, en tanto que más del 75 % del empleo industrial se agrupó en las áreas metropolitanas de Bogotá, Medellín, Cali y Barran-quilla. Convenientemente, este patrón de localización también converge con los resultados de productividad expuestos por Iregui-Bohórquez et al. (2007). En específico, se encontró que las áreas metropolitanas de mayor productividad industrial durante 1975-2000 correspondían a Cartagena, Cali, Barranquilla y Medellín.
La formulación propuesta modela la producción y ¡ realizada por los mi-cronegocios durante un año, a través de la información reportada de ventas para el año anterior al seguimiento, y que reúne los ingresos por concepto de: venta de productos elaborados, servicio de maquila, servicios de reparación y mantenimiento, otros ingresos, venta de mercancías e ingresos por comisión. Los trabajos de Quintero et al. (2012) y Shee y Stefanou (2014) abordan un enfoque similar con datos de la Encuesta Anual Manufacturera del DANE.
Las variables de la función de producción se precisan como los recursos necesarios para la ejecución de la operación de firma. En la práctica se desearía contar con información asociada a los factores de producción, así como con el vector de sus precios para cada empresa (Coelli et al., 1998). La disponibilidad de los datos no lo permite. En su lugar, la información vinculada a los factores de producción y los niveles de precios enfrentados por cada micronegocio serán aproximados a través de las variables de costos de insumos y costos de capital. Los costos de los insumos integran la estimación anual14 de los gastos por mercancía vendida, gastos en insumos para la prestación del servicio, gastos en materias primas, materiales y empaques, y el gasto en otros recursos. Por su parte, los costos de capital se construyen con información del gasto en arriendo de bienes muebles e inmuebles, y el gasto en servicios públicos consumidos, como energía eléctrica, telefonía, internet, y otros utilizados en el proceso de producción.
La información asociada a la planta laboral utilizada por el micronegocio también se incluye en la estimación de la frontera de producción. En este caso, en el evento en que estuvieran dados, se contabiliza la totalidad de los trabajadores remunerados vinculados a la operación del establecimiento, más el propietario.
Se aclara que se omite el ajuste a precios constantes de la variable por tratarse de un corte transversal y por el desconocimiento del vector de precios real enfrentado por cada uno de los negocios. Esto es una de las restricciones de este trabajo. En la función de producción, se introducen parámetros para el control de comportamientos no lineales en cada uno de los factores de producción, de acuerdo con lo descrito por Arbelo et al. (2018).
Los parámetros del estudio se seleccionan a partir de la información de caracterización en los diferentes módulos de la encuesta, y con sustento en el diagnóstico que adelantan Busom y Vélez-Ospina (2017) y Pagés (2010) en torno a los determinantes de la brecha de productividad entre empresas grandes y Mipymes en América Latina y el Caribe, y en menor medida en las dificultades y retos asociados a la competitividad y productividad en Colombia reconocidos por el Conpes 3527.
| Determinantes | Referencias | Canal de transmisión |
|---|---|---|
| Acceso a crédito | Agostino et al. (2018), Agostino y Trivieri (2019), Ali y Flinn (1989), Barchue y Aikaeli (2016), Dziwornu y Sarpong (2014) y Eslava et al. (2014) | Restricción presupuestaria para renovación y conservación de los factores, así como la incorporación de tecnología. |
| Longevidad del establecimiento | Arbelo et al. (2018), Barchue y Aikaeli (2016), Chang et al. (2017), Charoenrat y Harvie (2014), Dziwornu y Sarpong (2014), Lundvall y Battese (2000), Pérez-Gómez et al. (2018) y Villarreal et al. (2014) | Supervivencia empresarial y experiencia en la industria. |
| Formalidad del establecimiento y el proceso de producción | Bulak et al. (2016) y Villarreal et al. (2014) | Certificación de procedimientos y estándares operativos de la firma. |
| Tamaño de planta laboral | Kuboja et al. (2017) y Lundvall y Battese (2000) | Escala de producción y rendimiento marginal del trabajo. |
| Uso de capital TIC/ innovaciones tecno- lógicas | Arbeláez y Parra-Torrado (2009), Crespi et al. (2015), Hall (2011), Kurniati y Prajanti (2018), Ospino (2018) y Pérez-Gómez et al. (2018) | Digitalización y automatización de los procesos de la firma. |
| Género del propietario | Bocher et al. (2017), Kotey y O’Donnell (2002) | Inequidades socioeconómicas a través del acceso a formación, mercado laboral, herramientas financie- ras y ayuda del Estado. |
| Ubicación geográfica del establecimiento | Alem et al. (2019), Arbelo et al. (2018), Balios et al. (2015) y Charoenrat y Harvie (2014) | Diferencias en política empresarial, impositiva y de emprendimiento a nivel regional y municipal. |
En referencia a la función de modelación de la ineficiencia, se incluyen los siguientes parámetros:
Tamaño de la planta laboral: estimado a través de la variable que contabiliza el número de los trabajadores remunerados vinculados a la operación del establecimiento, más el propietario.
Antigüedad del establecimiento: estimada como el número de meses de labor del propietario o trabajador independiente en el negocio.
Género del propietario: describe el género del último individuo propietario principal de la unidad productiva. Es un indicador binario que toma el valor de uno (1) cuando el propietario es mujer.
Acceso a recursos de crédito: definido como los establecimientos con aspiraciones a recursos de crédito en el último año, de manera independiente a la consecución de estos. Este es un indicador binario que toma el valor de 1 cuando el establecimiento indica haber aspirado a recursos de crédito en el pasado año. De modo observacional, desde los análisis descriptivos se identifica que la condición de aspirante, en oposición a la condición de participante, es un mejor predictor de los niveles de ineficiencia en la operación de los establecimientos. Esto es más evidente cuando, de acuerdo con los datos de la encuesta, la tasa de aceptación crediticia para los micronegocios aspirantes pasa el 90 %. De tal forma que aquellos no aspirantes, y las razones por las que no lo hacen, desempeñan un mejor indicador del acceso al crédito. A nivel experimental, este patrón comprende un resultado interesante de la racionalidad de los propietarios de los negocios de barrio; en la práctica, tienen considerable autoconocimiento de sus restricciones a la hora de aspirar a programas de beneficio financiero.
Registro en cámara de comercio: en un sentido amplio, este indicador se propone medir el nivel de formalidad empresarial de los negocios. Naturalmente, compone una visión aislada de todas las dimensiones que conforman la formalidad según el Conpes 395615 del año 2019, pero igualmente se considera que logar capturar algunas de las manifestaciones de intención de formalidad del propietario de la actividad. Opera como una variable binaria con valor de uno (1) para los negocios con registro efectivo en cámara de comercio.
Uso de capital Tic: describe la condición de uso de por lo menos un dispositivo TIC (computadores, tabletas y teléfonos inteligentes) en la operación del establecimiento. Es una variable binaria que toma valor de 1 cuando el establecimiento incorpora capital TIC al proceso de producción.
Dominio geográfico: indicador categórico que identifica a cada una de las áreas metropolitanas de interés. Este parámetro pretende capturar el efecto de condiciones no observables a nivel regional (instituciones, competitividad, asistencia del gobierno local y regulaciones) que afecten los niveles promedio de eficiencia.
La estimación del modelo de frontera estocástica se lleva a cabo con el comando frontier del paquete estadístico Stata 15. Para facilitar la comprensión de las salidas, y su implicación en los resultados de eficiencia, los diferentes estimados se presentan por separado.
Primeramente, los resultados de la estimación de la frontera de producción enseñan que la selección de variables es cuando menos apropiada, a partir del ajuste de los datos y las formas funcionales propuestas. Todos los parámetros de interés resultan significativos al 99 % de confianza estadística, lo que en parte está derivado por el tamaño favorable de la población de análisis. La utilización de formas no lineales permite capturar la variabilidad en el rendimiento de los factores, al asumir elasticidades no constantes (Coelli et al., 1998). Normalmente, se esperarían estimaciones de las elasticidades con valores acotados entre 0 y 1. Con esta especificación es posible aproximar con mayor precisión el efecto de los factores productivos para diferentes niveles de uso en el proceso productivo.
Así, el uso de insumos y capital exhiben, en promedio, rendimientos inicialmente decrecientes, que posteriormente se tornan crecientes. Diferente de esto, la mano de obra evidencia rendimientos crecientes, que con la expansión de la planta de trabajo progresivamente alcanzan un máximo, y luego se hacen decrecientes. Este último resultado es consistente con la naturaleza de la producción intensiva en mano de obra de estos establecimientos.
Por otro lado, los resultados con respecto al ajuste del modelo permiten evaluar la validez de una formulación estocástica con el término v, o bien, considerar si al final los factores aleatorios son inexistentes y es oportuna una estimación vía mínimos cuadrados ordinarios. En la salida se aprecian los estimados de las desviaciones estándar para los dos componentes del error [sigma_v2] y σ 2 ß [sigma_u2], respectivamente. Y el componente agrupado σ 2 [sigma2]. El resultado de y [gamma] es uno de los más relevantes, pues expone la razón entre la varianza σ 2 ß que es atribuida a la ineficiencia y el total de la varianza del modelo σ 2 . De este modo, para la frontera estimada se calcula que alrededor de un 87,6 % de la varianza se atribuye a la ineficiencia de las empresas, y el restante 12,4 % a eventos exógenos a las firmas. La significancia17 de y [lgtgamma] al 99 % señala que la función de respuesta estándar del modelo de mínimos cuadrados ordinarios no crea una adecuada representación de los datos, por cuanto el modelo de frontera estocástica utilizado tiene un ajuste significativamente superior al introducir el parámetro vi.
Finalmente, aunque no se muestran en la salida, los resultados de la prueba log-likelihood para la presencia de ineficiencias, con hipótesis nula de no existencia de ineficiencia, indica significancia al 99 % Esto confirma lo mencionado anteriormente, y explica que gran parte de la variabilidad en los niveles de producción de los micronegocios se debe a su distanciamiento de la situación óptima de manejo de recursos.
Por último, de acuerdo con lo obtenido en el modelo como parámetro de la, que es el parámetro de ineficiencia, todas las variables propuestas presentan significancia al 99 %, por lo tanto, todos los determinantes analizados exhiben evidencia de efectos relevantes para explicar los diferenciales de eficiencia entre los microestablecimientos. En la parte de discusión de este trabajo, se profundizará sobre las implicaciones de la dirección y la magnitud de los efectos de cada uno de los determinantes.
Adicionalmente, se comenta la relevancia de la significancia parcial de los identificadores para las áreas metropolitanas, en la que se trata a la ciudad capital como la categoría de referencia. Únicamente las áreas metropolitanas de Medellín, Barranquilla y Bucaramanga mostraron resultados concluyentes. Para las dos primeras, existen condiciones no observables, con respecto a la capital, a favor de la ineficiencia en los micronegocios. Por su parte, Bucaramanga exhibe condiciones no observables que le otorgan una eficiencia promedio superior a la de Bogotá D. C.
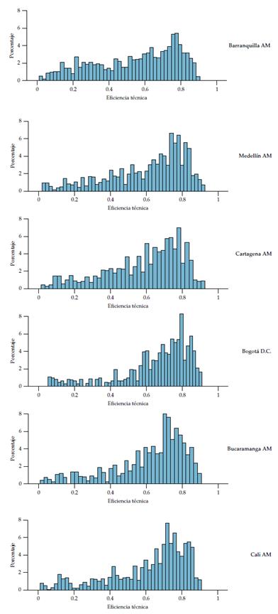
A partir del modelo de frontera estocástica y los niveles de uso de los factores de producción expuestos por cada microestablecimiento, se pueden estimar los índices de eficiencia técnica a nivel individual, con base en el cálculo de la situación óptima. La eficiencia técnica media de todos los micronegocios en las áreas de referencia es del 61,6 %, con una desviación estándar de 0,21, lo que indica que con asignaciones eficientes podría mejorarse el aprovechamiento de los factores en cerca de un 39 °%. Con más detalle, los niveles de eficiencia técnica media por área metropolitana quedaron así: Bogotá, D. C. (65,8 %), Cali (62,2 %), Bucaramanga (61,6 %), Medellín (60,2 %), Cartagena (58,9 %) y Barranquilla (54,5 %).

Fuente: DANE-Emicron.
Elaboración del autor.
No obstante, los histogramas de frecuencia ayudan a caracterizar con mayor precisión la manera en la que se comporta la eficiencia de los micronegocios para cada área metropolitana. Por ejemplo, las áreas de Barranquilla y Medellín presentan mayor dispersión en los niveles de eficiencia, visto en sus desviaciones estándar superior, 0,23 y 0,21, respectivamente. El caso de Barranquilla llama la atención al evidenciar la mayor concentración relativa de puntajes en la parte baja de la distribución. En oposición a esto, las áreas de Bogotá y Cartagena presentan la menor atomización de la eficiencia técnica. Particularmente, se percibe alta concentración de micronegocios con puntajes de eficiencia alrededor del 80 %. En las áreas restantes, se observa una mayor concentración de puntajes entre los niveles del 60 °% y 80 °%.
Estos contrastes son consistentes con las orientaciones metodológicas de Quintero et al. (2012) de utilizar efectos fijos y los análisis elaborados por Alem et al. (2019) en términos de la importancia de la acotación de las diferencias regionales en la estimación de índices de eficiencia, a raíz de la presencia de política territorial específica, asociada a esquemas de soporte y regulaciones estructurales. Un indicador de esto es el hecho de que los micronegocios localizados en las áreas metropolitanas de la costa exhiben niveles de eficiencia técnica inferiores en 6 p.p., en promedio.
La distribución de los puntajes también comunica niveles de eficiencia técnica promedio superiores para las empresas con acceso a canales de crédito e incorporación de capital TIC en sus procesos, resultados que coinciden con los trabajos de Agostino et al. (2018), Agostino y Trivieri (2019), Hall (2011), Ospino (2018), e igualmente resaltan la relevancia de la discusión inicial del documento.

Fuente: DANE-Emicron.
Elaboración del autor.
Así mismo, la relación positiva entre el tamaño de la planta de trabajadores remunerados y los niveles de eficiencia técnica demuestra que, en promedio, los micronegocios estudiados se ubican en el segmento de rendimientos crecientes de su función de producción. En la figura 4 es patente cómo las ganancias en eficiencia son decrecientes con la incorporación de mayor mano de obra, lo que describe una contribución no lineal del trabajo, fenómeno que coincide con el rendimiento y las condiciones de escala de los establecimientos intensivos en este factor, como lo son los micronegocios.

Fuente: DANE-Emicron.
Elaboración del autor.
Análogamente, se considera que los resultados derivados del análisis de género mantienen un trasfondo más complejo que el argumento de los diferenciales en las capacidades gerenciales entre hombres y mujeres. Aparentemente, pueden ser una expresión del efecto de otro tipo de condiciones socioeconómicas que recrudecen el desempeño de las unidades de negocios administradas por mujeres. En este sentido, las diferencias en el alcance educativo, la incidencia de la pobreza, la desigualdad, el liderazgo del hogar y el cúmulo de instituciones culturales que limitan el desarrollo humano y profesional de las mujeres pueden explicar estos resultados. Este argumento llama contundentemente al diseño de políticas públicas de auxilio y fomento al emprendimiento con enfoque de género.
Finalmente, se relacionan los resultados ligados a los efectos de la antigüedad del negocio, es decir, su edad con sus niveles de eficiencia. En la figura 5 se muestra un gráfico de distribución dispersa promedio. Este tipo de diagrama elabora un histograma con los valores promedios, y no de frecuencia, para cada intervalo de la variable de las abscisas, que se ubican en un plano con respecto a su relación con la variable en el eje de las ordenadas. Esto es, se muestra una dispersión con valores promedio de cada percentil ordenados para dos variables.

Fuente: DANE-Emicron.
Elaboración del autor.
Por un lado, los primeros años del microestablecimiento desde su nacimiento, que tienden a ser los más voraces en términos de supervivencia empresarial, son los que mayor aporte marginal tienen a la eficiencia media, una vez superados. Esto se observa en el impulso que se da en los puntajes para los primeros dos o tres años. Adicionalmente, se aprecia que en el tiempo la curva de aprendizaje de los micronegocios tiende a aplanarse, alrededor de los 20 años, sugiriendo que la eficiencia adquirida es positiva pero decreciente. Este resultado es relevante, pues en la práctica se espera que las unidades empresariales se expandan y avancen en tamaño con los años.
Un micronegocio con más de 20 años antigüedad presenta indudables obstáculos de crecimiento, asociados probablemente a temas de eficiencia productiva. Esto coincide con el hecho de que en la figura se observa que los negocios más antiguos empiezan a presentar niveles inferiores de eficiencia técnica. Bajo esta posición, una política pública de apoyo a los micronegocios de subsistencia es una alternativa relevante que también supondría resultados deseables en términos de la distribución de ingreso.
Agostino, M., Ruberto, S., & Trivieri, F. (2018). Lasting lending relationships and technical efficiency. Evidence on European SMES. Journal of Productivity Analysis, 50(1-2), 25-40. https://doi.org/10.1007/s11123-018-0532-z
M. Agostino S. Ruberto F Trivieri 2018Lasting lending relationships and technical efficiency. Evidence on European SMESJournal of Productivity Analysis501-22540https://doi.org/10.1007/s11123-018-0532-z
Agostino, M., & Trivieri, F. (2019). Does trade credit affect technical efficiency? Empirical evidence from Italian manufacturing SMES. Journal of Small Business Management, 57(2), 576-592. https://doi.org/10.1111/jsbm.12410
M. Agostino F Trivieri 2019Does trade credit affect technical efficiency? Empirical evidence from Italian manufacturing SMESJournal of Small Business Management572576592https://doi.org/10.1111/jsbm.12410
Aigner, D., & Chu, S. F. (1968). American Economic Association on estimating the industry production function. The American Economic Review, 58(4), 826-839. http://www.jstor.org/stable/1815535
D. Aigner S. F Chu 1968American Economic Association on estimating the industry production functionThe American Economic Review584826839http://www.jstor.org/stable/1815535
Aigner, D., Lovell, C. A. K., & Schmidt, P. (1977). Formulation and estimation of stochastic frontier production function models. Journal of Econometrics, 6(1), 21-37. https://doi.org/10.1016/0304-4076(77)90052-5
D. Aigner C. A. K. Lovell P Schmidt 1977Formulation and estimation of stochastic frontier production function modelsJournal of Econometrics612137https://doi.org/10.1016/0304-4076(77)90052-5
Alem, H., Lien, G., Hardaker, J. B., & Guttormsen, A. (2019). Regional differences in technical efficiency and technological gap of Norwegian dairy farms: a stochastic meta-frontier model. Applied Economics, 51(4), 409-421. https://doi.org/10.1080/00036846.2018.1502867
H. Alem G. Lien J. B. Hardaker A Guttormsen 2019Regional differences in technical efficiency and technological gap of Norwegian dairy farms: a stochastic meta-frontier modelApplied Economics514409421https://doi.org/10.1080/00036846.2018.1502867
Ali, M., & Flinn, J. C. (1989). Profit efficiency among basmati rice producers in Pakistan Punjab. American Journal of Agricultural Economics, 71(2), 303-310. https://doi.org/10.2307/1241587
M. Ali J. C Flinn 1989Profit efficiency among basmati rice producers in Pakistan PunjabAmerican Journal of Agricultural Economics712303310https://doi.org/10.2307/1241587
Arbeláez, M. A., & Parra-Torrado, M. (2009). Innovation, R&D investment and productivity in Chile. Cepal Review, 2011(104). https://doi.org/10.18356/7ce1ee2d-en
M. A. Arbeláez M Parra-Torrado 2009Innovation, R&D investment and productivity in ChileCepal Review2011104https://doi.org/10.18356/7ce1ee2d-en
Arbelo, A., Pérez-Gómez, P., & Arbelo-Pérez, M. (2018). Estimating efficiency and its determinants in the hotel sector using a profit function. Current Issues in Tourism, 21(8), 863-876. https://doi.org/10.1080/13683500.2017.1293622
A. Arbelo P. Pérez-Gómez M. Arbelo-Pérez 2018Estimating efficiency and its determinants in the hotel sector using a profit functionCurrent Issues in Tourism218863876https://doi.org/10.1080/13683500.2017.1293622
Balat, J., & Casas-Lozano, M. C. (2018). Firm productivity and cities: the case of Colombia. Borradores de Economía N° 1032. http://repositorio.banrep.gov.co/handle/20.500.12134/6555
J. Balat M. C Casas-Lozano 2018Firm productivity and cities: the case of ColombiaBorradores de Economía1032http://repositorio.banrep.gov.co/handle/20.500.12134/6555
Balios, D., Eriotis, N., Fragoudaki, A., & Giokas, D. (2015). Economic efficiency of Greek retail SMES in a period of high fluctuations in economic activity: a DEA approach. Applied Economics, 47(33), 3577-3593. https://doi.org/10.1080/00036846.2015.1019033
D. Balios N. Eriotis A. Fragoudaki D Giokas 2015Economic efficiency of Greek retail SMES in a period of high fluctuations in economic activity: a DEA approachApplied Economics473335773593https://doi.org/10.1080/00036846.2015.1019033
Battese, G. E., & Coelli, T. J. (1995). A model for technical inefficiency effects in a stochastic frontier production function for panel data. Empirical Economics, 20(2), 325-332. https://doi.org/10.1007/BF01205442
G. E. Battese T. J. Coelli 1995A model for technical inefficiency effects in a stochastic frontier production function for panel dataEmpirical Economics202325332https://doi.org/10.1007/BF01205442
Battese, G., Rao, D. S. P., & Walujadi, D. (2001). Technical efficiency and productivity potential of firms using a stochastic metaproduction frontier. Permanent Seminar on Efficiency and Productivity, Journal Article, 1-20.
G. Battese D. S. P. Rao D Walujadi 2001Technical efficiency and productivity potential of firms using a stochastic metaproduction frontierPermanent Seminar on Efficiency and Productivity, Journal Article120
Battese, George E., & Corra, G. S. (1977). Estimation of a production frontier model: with application to the pastoral zone of Eastern Australia. Australian Journal of Agricultural Economics, 21(3), 169-179. https://doi.org/10.1111/j.1467-8489.1977.tb00204.x
George E. Battese G. S Corra 1977Estimation of a production frontier model: with application to the pastoral zone of Eastern AustraliaAustralian Journal of Agricultural Economics213169179https://doi.org/10.1111/j.1467-8489.1977.tb00204.x
Bocher, T., Low, J. W., Sindi, K., & Rajendran, S. (2017). Gender-sensitive value chain intervention improved profit efficiency among orange-fleshed sweetpotato producers in Rwanda. Open Agriculture, 2(1), 386-393. https://doi.org/10.1515/opag-2017-0041
T. Bocher J. W. Low K. Sindi S Rajendran 2017Gender-sensitive value chain intervention improved profit efficiency among orange-fleshed sweetpotato producers in RwandaOpen Agriculture21386393https://doi.org/10.1515/opag-2017-0041
Bulak, M. E., Turkyilmaz, A., Satir, M., Shoaib, M., & Shahbaz, M. (2016). Measuring the performance efficiency of Turkish electrical machinery manufacturing SMES with frontier method. Benchmarking, 23(7), 20042026. https://doi.org/10.1108/BIJ-09-2015-0089
M. E. Bulak A. Turkyilmaz M. Satir M. Shoaib M Shahbaz 2016Measuring the performance efficiency of Turkish electrical machinery manufacturing SMES with frontier methodBenchmarking2372004202620042026https://doi.org/10.1108/BIJ-09-2015-0089
Busom, I., & Vélez-Ospina, J. A. (2017). Innovation, public support, and productivity in Colombia. A cross-industry comparison. World Development, 99, 75-94. https://doi.org/10.1016/j.worlddev.2017.07.005
I. Busom J. A Vélez-Ospina 2017Innovation, public support, and productivity in Colombia. A cross-industry comparisonWorld Development997594https://doi.org/10.1016/j.worlddev.2017.07.005
Busso, M., Madrigal, L., & Pagés, C. (2012). Productivity and resource mi-sallocation in Latin America. IDB Working Paper Series (IDB-WP-306), 13(1). https://doi.org/10.1515/bejm-2012-0087
M. Busso L. Madrigal C Pagés 2012Productivity and resource mi-sallocation in Latin AmericaIDB Working Paper Series (IDB-WP-306)131https://doi.org/10.1515/bejm-2012-0087
Chang, T., Takahashi, D., & Yang, C. K. (2017). Profit efficiency analysis of rice production in Taiwan. China Agricultural Economic Review, 9(1), 32-47. https://doi.org/10.1108/CAER-04-2016-0059
T. Chang D. Takahashi C. K Yang 2017Profit efficiency analysis of rice production in TaiwanChina Agricultural Economic Review913247https://doi.org/10.1108/CAER-04-2016-0059
Charoenrat, T., & Harvie, C. (2014). The efficiency of SMES in Thai manufacturing: a stochastic frontier analysis. Economic Modelling, 43, 372-393. https://doi.org/10.1016/j.econmod.2014.08.009
T. Charoenrat C Harvie 2014The efficiency of SMES in Thai manufacturing: a stochastic frontier analysisEconomic Modelling43372393https://doi.org/10.1016/j.econmod.2014.08.009
Coelli, T., Rao, D. S. P., & Battese, G. E. (1998). An introduction to efficiency an productivity analysys. Springer Science+Business Media, LLC. https://doi.org/10.1007/978-1-4615-5493-6
T. Coelli D. S. P. Rao G. E Battese 1998An introduction to efficiency an productivity analysysSpringer Science+Business Media, LLChttps://doi.org/10.1007/978-1-4615-5493-6
Crespi, G., Garone, L. F., Maffioli, A., & Melendez, M. (2015). Long-term productivity effects of public support to innovation in Colombia. Emerging Markets Finance and Trade, 51(1), 48-64. https://doi.org/10.1080/1540496X.2015.998080
G. Crespi L. F. Garone A. Maffioli M Melendez 2015Long-term productivity effects of public support to innovation in ColombiaEmerging Markets Finance and Trade5114864https://doi.org/10.1080/1540496X.2015.998080
Daude, C., Fernández-Arias, E., & Pezzini, M. (2010). On the role of productivity and factor accumulation in economic development in Latin America and the Caribbean. OECD Development Centre Working Papers, 290, 1-42. http://search.proquest.com/docview/872901635?accountid=27932
C. Daude E. Fernández-Arias M Pezzini 2010On the role of productivity and factor accumulation in economic development in Latin America and the CaribbeanOECD Development Centre Working Papers290142http://search.proquest.com/docview/872901635?accountid=27932
Doern, R. (2009). Investigating barriers to SME growth and development in transition environments: a critique and suggestions for developing the methodology. International Small Business Journal, 27(3), 275-305. https://doi.org/10.1177/0266242609102275
R Doern 2009Investigating barriers to SME growth and development in transition environments: a critique and suggestions for developing the methodologyInternational Small Business Journal273275305https://doi.org/10.1177/0266242609102275
Dziwornu, R. K., & Sarpong, D. B. (2014). Application of the stochastic profit frontier model to estimate economic efficiency in small-scale broiler production in the Greater Accra Region of Ghana. Review of Agricultural and Applied Economics, 17(02), 10-16. https://doi.org/10.15414/raae.2014.17.02.10-16
R. K. Dziwornu D. B Sarpong 2014Application of the stochastic profit frontier model to estimate economic efficiency in small-scale broiler production in the Greater Accra Region of GhanaReview of Agricultural and Applied Economics17021016https://doi.org/10.15414/raae.2014.17.02.10-16
Eslava, M., Maffioli, A., & Mellndez, M. (2014). Credit constraints and business performance: evidence from public lending in Colombia. SSRN Electronic Journal, (37), 2013-2037. https://doi.org/10.2139/ssrn.2516517
M. Eslava A. Maffioli M Mellndez 2014Credit constraints and business performance: evidence from public lending in ColombiaSSRN Electronic Journal3720132037https://doi.org/10.2139/ssrn.2516517
Farrell, M. J. (1957). The measurement of productive efficiency. Journal of the Royal Statistical Society, Series A (General), 120(3), 253-290. http://goo.gl/AFhm2N
M. J Farrell 1957The measurement of productive efficiencyJournal of the Royal Statistical Society, Series A (General)1203253290http://goo.gl/AFhm2N
Hall, B. H. (2011). Innovation and productivity. Working Paper N° 17178, NBER Working Paper Series. https://www.nber.org/papers/w17178
B. H Hall 2011Innovation and productivity. Working Paper N° 17178, NBER Working Paper Serieshttps://www.nber.org/papers/w17178
Kathuria, V., Raj, R., & Sen, K. (2011). Productivity of measurement in Indian manufacturing a comparison of alternative methods. CMDR Monograph Series, N° 65.
V. Kathuria R. Raj K Sen 2011Productivity of measurement in Indian manufacturing a comparison of alternative methodsCMDR Monograph Series, N° 65
Kotey, B., & O'Donnell, C. J. (2002). Data Envelopment analysis in small and medium enterprises: a study of the Australian food, beverages and tobacco manufacturing industry. Small Enterprise Research, 10(2), 3-22. https://doi.org/10.5172/ser.10.2.3
B. Kotey C. J O'Donnell 2002Data Envelopment analysis in small and medium enterprises: a study of the Australian food, beverages and tobacco manufacturing industrySmall Enterprise Research102322https://doi.org/10.5172/ser.10.2.3
Kuboja, N. M., Isinika, A. C., & Kilima, F. T. M. (2017). Determinants of economic efficiency among small-scale beekeepers in Tabora and Katavi regions, Tanzania: a stochastic profit frontier approach. Development Studies Research, 4(1), 1-8. https://doi.org/10.1080/21665095.2017.1355738
N. M. Kuboja A. C. Isinika F. T. M Kilima 2017Determinants of economic efficiency among small-scale beekeepers in Tabora and Katavi regions, Tanzania: a stochastic profit frontier approachDevelopment Studies Research4118https://doi.org/10.1080/21665095.2017.1355738
Kumbhakar, S. C., & Wang, H.-J. (2010). Estimation of technical inefficiency in production frontier models using cross-sectional data. Indian Economic Review, 45(2), 7-77. http://www.jstor.org/stable/29793967
S. C. Kumbhakar H.-J Wang 2010Estimation of technical inefficiency in production frontier models using cross-sectional dataIndian Economic Review452777http://www.jstor.org/stable/29793967
Kurniati, E. D., & Prajanti, S. D. W. (2018). Batik SMES efficiency and entrepreneurship role in innovation. Jejak, 11(2), 375-389. https://doi.org/10.15294/jejak.v11i2.16058
E. D. Kurniati S. D. W Prajanti 2018Batik SMES efficiency and entrepreneurship role in innovationJejak112375389https://doi.org/10.15294/jejak.v11i2.16058
Lundvall, K., & Battese, G. E. (2000). Firm size, age and efficiency: evidence from Kenyan manufacturing firms. Journal of Development Studies, 36(3), 146-163. https://doi.org/10.1080/00220380008422632
K. Lundvall G. E Battese 2000Firm size, age and efficiency: evidence from Kenyan manufacturing firmsJournal of Development Studies363146163https://doi.org/10.1080/00220380008422632
Meeusen, W., & Van den Broeck, J. (1977). Efficiency estimation from Cobb-Douglas production functions with composed error. International Economic Review, 18(2), 435. https://doi.org/10.2307/2525757
W. Meeusen J Van den Broeck 1977Efficiency estimation from Cobb-Douglas production functions with composed errorInternational Economic Review182435435https://doi.org/10.2307/2525757
Melgarejo Molina, Z., Vera-Colina, M., & Mora-Riapira, E. (2013). Competitividad de la Mipyme y desarrollo regional: estudio del caso colombiano. Tendencias, 14(2), 184-215.
Z. Melgarejo Molina M. Vera-Colina E Mora-Riapira 2013Competitividad de la Mipyme y desarrollo regional: estudio del caso colombianoTendencias142184215
Montoya, A., Montoya, I., & Castellanos, O. (2010). Situación de la competiti-vidad de las pyme en Colombia: elementos actuales y retos. Agronomía Colombiana, 28(1), 107-117.
A. Montoya I. Montoya O Castellanos 2010Situación de la competiti-vidad de las pyme en Colombia: elementos actuales y retosAgronomía Colombiana281107117
Nieto, V. M. (2016). Concentración y especialización regional de la industria manufacturera según áreas metropolitanas y sectores industriales. Archivos de Economía, Departamento Nacional de Planeación, N° 441. https://www.dnp.gov.co/estudios-y-publicaciones/estudios-economicos/Paginas/archivos-de-economia.aspxhttp://www.dotec-colombia.org/ index.php/series/118-departamento-nacional-de-planeacion/archivos-de-economia
V. M Nieto 2016Concentración y especialización regional de la industria manufacturera según áreas metropolitanas y sectores industrialesArchivos de Economía, Departamento Nacional de Planeación441https://www.dnp.gov.co/estudios-y-publicaciones/estudios-economicos/Paginas/archivos-de-economia.aspxhttp://www.dotec-colombia.org/ index.php/series/118-departamento-nacional-de-planeacion/archivos-de-economia
Ospino, C. (2018). Broadband internet, labor demand, and total factor productivity in Colombia. World Bank Policy Research Working Paper N° 8318. https://doi.org/10.1596/1813-9450-8318
C Ospino 2018Broadband internet, labor demand, and total factor productivity in ColombiaWorld Bank Policy Research Working8318https://doi.org/10.1596/1813-9450-8318
Pagés, C. (2010). La era de la productividad: cómo transformar las economías desde sus cimientos. En C. Pagés (Ed.), Banco Mundial (Vol. 8). https://www.bancomundial.org/es/news/opinion/2020/01/21/nueva-decada-en-america-latina.print
C Pagés 2010La era de la productividad: cómo transformar las economías desde sus cimientos C Pagés Banco Mundial8https://www.bancomundial.org/es/news/opinion/2020/01/21/nueva-decada-en-america-latina.print
Pérez-Gómez, P., Arbelo-Pérez, M., & Arbelo, A. (2018). Profit efficiency and its determinants in small and medium-sized enterprises in Spain. BRO Business Research Quarterly, 21(4), 238-250. https://doi.org/10.1016/j.brq.2018.08.003
P. Pérez-Gómez M. Arbelo-Pérez A. Arbelo 2018Profit efficiency and its determinants in small and medium-sized enterprises in SpainBRO Business Research Quarterly214238250https://doi.org/10.1016/j.brq.2018.08.003
Quintero, L., Leandro, O., & Yaned, L. (2012). Determinants of productivity and technical inefficiency in Colombia's manufacturing, 1992-2007. Munich Personal RePEc Archive N° 47736. https://mpra.ub.uni-muenchen.de/47736/
L. Quintero O. Leandro L Yaned 2012Determinants of productivity and technical inefficiency in Colombia's manufacturing, 1992-2007Munich Personal RePEc Archivehttps://mpra.ub.uni-muenchen.de/47736/
Romero, J. E. C., Rodríguez, F. A., Rojas, J. A. B., Lozano, C. C., Ramírez, A. X. G., Burbano, S. A. M., & Velásquez, J. S. V. (2018). La industria colombiana en el siglo xxi. Ensayos sobre Política Económica, 2018(87). https://doi.org/10.32468/espe.87
J. E. C. Romero F. A. Rodríguez J. A. B. Rojas C. C. Lozano A. X. G. Ramírez S. A. M. Burbano J. S. V Velásquez 2018La industria colombiana en el siglo xxiEnsayos sobre Política Económica201887https://doi.org/10.32468/espe.87
Ruiz-Rodriguez, M., Rodriguez-Villamizar, L. A., & Heredia-Pi, I. (2016). Technical efficiency of women's health prevention programs in Bucaramanga, Colombia: a four-stage analysis. BMC Health Services Research, 16(1). https://doi.org/10.1186/s12913-016-1837-0
M. Ruiz-Rodriguez L. A. Rodriguez-Villamizar I Heredia-Pi 2016Technical efficiency of women's health prevention programs in Bucaramanga, Colombia: a four-stage analysisBMC Health Services Research161https://doi.org/10.1186/s12913-016-1837-0
Santa María, M., Perfetti, M., Piraquive, G., Nieto, V., Timote, J., & Céspedes, E. (2013). Evolución de la industria en Colombia. Archivos de Economía, 402, 69. https://colaboracion.dnp.gov.co/CDT/Estudios_Econmicos/402.pdf
M. Santa María M. Perfetti G. Piraquive V. Nieto J Timote E Céspedes 2013Evolución de la industria en ColombiaArchivos de Economía4026969https://colaboracion.dnp.gov.co/CDT/Estudios_Econmicos/402.pdf
Shee, A., & Stefanou, S. E. (2014). Endogeneity corrected stochastic production frontier and technical efficiency. American Journal of Agricultural Economics, 97(3), 939-952. https://doi.org/10.1093/ajae/aau083
A. Shee S. E Stefanou 2014Endogeneity corrected stochastic production frontier and technical efficiencyAmerican Journal of Agricultural Economics973939952https://doi.org/10.1093/ajae/aau083
Shee, A., & Stefanou, S. E. (2016). Bounded learning-by-doing and sources of firm level productivity growth in Colombian food manufacturing industry. Journal of Productivity Analysis, 46(2-3), 185-197. https://doi.org/10.1007/s11123-016-0481-3
A. Shee S. E Stefanou 2016Bounded learning-by-doing and sources of firm level productivity growth in Colombian food manufacturing industryJournal of Productivity Analysis462-3185197https://doi.org/10.1007/s11123-016-0481-3
Trujillo, J. C., & Iglesias, W. J. (2013). Measurement of the technical efficiency of small pineapple farmers in Santander, Colombia: a stochastic frontier approach. Revista de Economia e Sociologia Rural, 51(Suppl. 1). https://doi.org/10.1590/S0103-20032013000600003
J. C. Trujillo W. J Iglesias 2013Measurement of the technical efficiency of small pineapple farmers in Santander, Colombia: a stochastic frontier approachRevista de Economia e Sociologia Rural511https://doi.org/10.1590/S0103-20032013000600003
Villarreal, N. F., Lucio-Arias, D., Albis, N., & Mora, H. (2014). Determinantes de la innovación y la productividad en la industria manufacturera colombiana por tamaño de firma. Observatorio Colombiano de Ciencia y Tecnología, 1-48.
N. F. Villarreal D. Lucio-Arias N. Albis H Mora 2014Determinantes de la innovación y la productividad en la industria manufacturera colombiana por tamaño de firmaObservatorio Colombiano de Ciencia y Tecnología148
[20]Véase Díaz y Jaramillo (2009), Goldberg y Palladini (2008), Volpe y Carballo (2008) y Binelli y Mafioli (2007).
[21]Véase https://acopi.org.co/wp-content/uploads/2017/10/Productividad-y-Competitividad-en-Colombia.pdf
[25]La función de producción de la forma Cobb-Douglas se utiliza ampliamente en el cálculo de elasticidades y estimación de medidas de desempeño de las firmas. De acuerdo con Coelli et al. (1998), su simplicidad ofrece propiedades muy atractivas; una transformación logarítmica proporciona un modelo lineal en los parámetros de los in-sumos, lo que lo hace sencillo de estimar. De todas maneras, esta simplicidad también viene a costo de algunas restricciones. Una función de producción Cobb-Douglas implica elasticidades constantes en los insumos, así como retornos constantes de escala para las firmas. Además, las elasticidades de sustitución son iguales a 1. Algunas alternativas funcionales propuestas en la literatura incluyen el uso de funciones translogarítmicas (Greene, 1980b) y la función de producción generalizada Zellner-Revankar (Forsund & Hjalmarsson, 1979; Kumbhakar, Ghosh & McGuckin, 1991), pero que se asocian con susceptibilidad a multicolinealidad y complejidad de cómputo.
[26]Para los insumos variables se requiere demostrar la existencia de derivadas parciales positivas con respecto a la productividad, al igual que debe ser verificable la condición de monotonicidad de la función de producción en el uso de insumos fijos (ABBP, 2007).
[27]Un parámetro de eficiencia técnica o cambio técnico se considera neutral hicksiano cuando sus variaciones no involucran cambios en el balance de capital y trabajo en la función de producción. Esto es, en el margen ninguno se hace más o menos relevante.
[28]En cierto sentido compone una medida de la ignorancia que existe en torno al proceso de producción, con un amplio alcance a errores de medición en el producto y los insumos.
[29]Se dice que µ¡ es estrictamente no negativo por construcción del modelo; como µ¡ es el parámetro residual que captura la ineficiencia relativa con respecto a la situación óptima de frontera de la firma, un término negativo de ineficiencia relativa señalaría una situación incompatible con la ideal de la firma, indicada por la frontera, que permite que la medición de la ineficiencia se acote entre [0,1]. En otras palabras, existiría una configuración productiva mejor a la óptima. Formalmente se dice que | µ¡ es i.i.d. y sigue una distribución medio normal, y en algunas aplicaciones una distribución truncada en cero (Stevenson, 1980).
[30]En el mismo marco de análisis de la productividad, Coelli et al. (1998) desarrollan otras alternativas de medición del desempeño de las firmas generalizando parte de lo descrito por Färe et al. (1994). Todas estas adscritas al principio de que la productividad es una medición relativa. De esta manera, estos métodos difieren en el tipo de medición aportada, la información requerida y los supuestos conformados en torno a la estructura de la tecnología de producción y el comportamiento optimizador de los agentes. Entre estos se cuentan: i) los índices de la productividad total de los factores (PTF), ii) el análisis de envolvente (DEA) y iii) la estimación paramétrica de fronteras estocásticas. Los métodos en i) usualmente se aplican a estructuras de datos agregados en series de tiempo buscando proveer medidas de cambio técnico, así como variaciones de la PTF. No obstante, estos asumen de entrada que las firmas son plenamente eficientes. Entre ellos, destacan el índice ponderado de Tonrqvist y el índice de Malmquist, basado en el uso de funciones de distancia. Por su parte, en ii) y iii) se describe el nivel de eficiencia de las firmas con respecto a fronteras óptimas estimadas, por lo que se relaja el supuesto de eficiencia plena. Estos se aplican a menudo a estructuras de datos muestrales en corte transversal, aunque se han desarrollado modificaciones metodológicas que permiten su uso en paneles. Dichos métodos generan cálculos de eficiencia relativos al conjunto de firmas estudiado. El cómputo de ii) requiere de técnicas de programación lineal, lo que constituye una ventaja ante muestras pequeñas, y puede distinguir entre funciones de producción con retornos constantes y variables de escala. Para el caso de iii) se requieren estimaciones paramétricas que obligan al investigador a hacer supuestos sobre las formas funcionales de los componentes de la producción. De todas formas, se pueden aprovechar las propiedades asintóticas de algunos estimadores. Además, se incorporan etapas en la estimación que posibilitan hacer inferencia estadística en torno a los valores de eficiencia computados y factores exógenos. En Battese y Coelli (1995), se aplican los métodos de iii) para el cálculo simultáneo de cambio técnico y eficiencia técnica en el tiempo. Los métodos ii) y iii), al igual que el índice de Malmquist, se basan en el concepto de eficiencia técnica de Farrell (1957), que en general conforma un caso particular de los números índices. Finalmente, la mayoría de estas aproximaciones cuenta con enfoques de mediciones de la eficiencia orientadas a los insumos y orientadas a la producción.
[31]Se describe como determinístico el modelo de frontera en (1), porque el producto observado (y¡) está acotado hacia arriba por el coeficiente no estocástico e (xiß)
[32]Para Aigner y Chu (1968), también puede ser el resultado del manejo irresponsable de los equipos.
[33]Se hace la estimación anual porque la encuesta solo dispone de datos mensuales promediados. Luego, se extrapola el dato anual al multiplicar por 12 la aproximación mensual disponible.
[34]Se recuerda que el Conpes 3956 de 2019 define cuatro dimensiones fundamentales de la actividad económica formal: a) existencia, asociada a la entrada al mercado y al registro empresarial; b) laboral, que refiere a la afiliación de los trabajadores a sistemas de seguridad social obligatoria; c) productiva, que indica la implementación de normas técnicas, estándares de operación y reglamentos del sector; y d) tributaria, que abarca el cumplimiento de las obligaciones de la empresa en materia de impuestos.
[35]* Estadísticamente significativo al 10 % (p < 0,1). ** Estadísticamente significativo al 5 % (p < 0,05). *** Estadísticamente significativo al 1 % (p < 0,01).
[36]Como y se acota en el intervalo [0,1], el proceso de optimización es parametrizado en términos de su función logística inversa, y el estimado se reporta como lgtgamma, medida que sí incluye prueba de hipótesis. Por otro lado, La variable lnsigma2 hace referencia al valor de σ 2, que es necesariamente positivo, y es parametrizado como ln(σ2).
[37] Hoyos Pontón, C. E. (2022). Eficiencia técnica y sus determinantes en micronegocios manufactureros: un análisis de productividad en sección cruzada. Revista de Economía del Rosario, 25(2), 1-37. https://doi.org/10.12804/revistas.urosario.edu.co/economia/a.12977