10.12804/revistas.urosario.edu.co/disertaciones/a.14837
AVANCES (Tema Abierto)
Carlos Ricardo Gonzales-García 1
Franklin Martín Cornejo Urbina2
Frank Capuñay Laynes 3
1 Universidad Nacional Mayor de San Marcos, MediaLabUNMSM (Perú)
carlos.gonzales1@unmsm.edu.pe
2 Universidad Nacional Mayor de San Marcos, MediaLabUNMSM (Perú)
fcornejou@unmsm.edu.pe
3 Universidad Nacional Mayor de San Marcos, MediaLabUNMSM (Perú)
frank.capunay@unmsm.edu.pe
Recibido: 11 de septiembre de 2024
Aprobado: 27 de abril de 2025
Fecha de prepublicación: 8 de julio de 2025
Para citar este artículo: Gonzales-García, C., Cornejo-Urbina, F. M., & Capuñay-Laynes, F. (2026). Análisis de la cobertura mediática de la pandemia del Covid-19 en El Comercio (Perú), La Nación (Argentina) y El País (España). Anuario Electrónico de Estudios en Comunicación Social "Disertaciones", 19(1). https://doi.org/10.12804/revistas.urosario.edu.co/disertaciones/a.14837
RESUMEN
La pandemia del Covid-19 representó uno de los mayores desafíos sanitarios y comunicacionales del siglo XXI, evidenciando el papel relevante de los medios en la configuración de la percepción pública. En este estudio, se analiza la cobertura mediática del Covid-19 en medios iberoamericanos y su impacto en la percepción pública, aplicando análisis lingüístico crítico y de establecimiento de agenda y framing a 1 043 unidades de periódicos en Perú, Argentina y España, entre el 30 de enero de 2020 y el 8 de enero de 2021. Se destaca una tendencia hacia informaciones objetivas y la prevalencia de marcos de conflicto, atribución de responsabilidad e interés humano, con mínima presencia de juicios éticos. Este patrón sugiere una preocupación universal por las consecuencias sanitarias, económicas y sociales de la pandemia, enfatizando la importancia de la selección editorial en la representación de la crisis. Los hallazgos resaltan el papel de los medios impresos en moldear la opinión pública durante emergencias sanitarias y resaltan la necesidad de comunicaciones precisas por parte de autoridades sanitarias, para guiar la percepción del riesgo y la respuesta poblacional.
Palabras clave: cobertura Covid-19; análisis mediático; establecimiento de agenda; framing; análisis crítico.
ABSTRACT
The COVID-19 pandemic represented one of the greatest health and communication challenges of the 21st century, highlighting the relevant role of the media in shaping public perception. This study analyzes the media coverage of COVID-19 in Ibero-America and its impact on public perception, applying critical linguistic analysis and agenda setting and framing to 1,043 newspapers in Peru, Argentina and Spain from January 30, 2020 to January 8, 2021. There is a notable trend towards objective information and the prevalence of conflict frames, attribution of responsibility and human interest stands out, with minimal presence of ethical judgments. This pattern suggests a universal concern about the health, economic and social consequences of the pandemic, emphasizing the importance of editorial selection in the representation of the crisis. The findings highlight the role of print media in shaping public opinion during health emergencies and underscore the need for accurate communications from health authorities to guide risk perception and population response.
Keywords: Covid-19 coverage; press analysis; agenda setting; framing; critical analysis.
RESUMO
A pandemia da covid-19 representou um dos maiores desafios de saúde e comunicação do século 21, destacando o importante papel da mídia na formação da percepção pública. Neste estudo, analisa-se a cobertura midiática sobre a covid-19 na mídia ibero-americana e seu impacto na percepção pública, por meio da aplicação da análise linguística crítica, da definição de agenda e do enquadramento em 1.043 unidades jornalísticas publicadas no Peru, na Argentina e na Espanha, entre 30 de janeiro de 2020 e 8 de janeiro de 2021. Observa-se uma tendência à reportagem objetiva, com prevalência de conflitos, atribuição de responsabilidade e enquadramentos de interesse humano, e baixa incidência de julgamentos éticos. Esse padrão sugere uma preocupação generalizada com as consequências sanitárias, económicas e sociais da pandemia, enfatizando a importância da seleção editorial na representação da crise. Os resultados evidenciam o papel da mídia impressa na formação da opinião pública durante emergências de saúde e reforçam a necessidade de comunicações precisas por parte das autoridades sanitárias, a fim de orientar a percepção de risco e a resposta social.
Palavras-chave: cobertura da Covid-19; análise da mídia; definição de agenda; enquadramento; análise crítica.
Introducción
La pandemia del Covid-19 representó una crisis sanitaria y comunicacional sin precedentes que reconfiguró las dinámicas informativas a nivel global. El papel de los medios en la construcción del sentido sobre la pandemia ha sido objeto de un creciente interés académico, no solo por su capacidad de informar, sino por su influencia en la percepción del riesgo, la conducta ciudadana y las decisiones políticas en contextos de alta incertidumbre. Esta investigación se enmarca en ese interés, con el objetivo de analizar cómo se estructuran los discursos mediáticos sobre la pandemia en tres contextos iberoamericanos, desde un enfoque basado en el análisis lingüístico crítico y en las teorías de la agenda-setting y el framing.
La cobertura mediática de enfermedades y pandemias, especialmente antes de la aparición del Covid-19, ha sido abordada como un terreno fértil para comprender el rol mediático en la respuesta pública. La experiencia de la pandemia de H1N1 en 2009 evidenció el peso de las autoridades sanitarias como fuentes primarias de información, tal como lo analiza Duncan (2009) en el caso europeo. La transformación de comunicados oficiales en noticias también fue estudiada por Lee y Basnyat (2013), revelando cómo el contenido gubernamental era reelaborado por los medios. A su vez, Van den Bulck y Custers (2009) demostraron cómo la exposición mediática intensificaba la percepción del riesgo en contextos epidémicos previos, una relación que sigue vigente durante el Covid-19, como resaltan Focás y Zunino (2020).
A diferencia de otras pandemias, el Covid-19 generó una cobertura global sin precedentes, tanto en medios tradicionales como digitales. Kousha y Thelwall (2020) identificaron una estrecha relación entre la difusión mediática y la visibilidad académica del tema, mostrando la convergencia entre ciencia, prensa y redes sociales. Buturoiu y Voloc (2021), por su parte, analizaron cómo los medios en Rumania articularon sus agendas informativas con énfasis en decisiones políticas y cifras sanitarias, reforzando el rol de la agenda-setting en la construcción temática de la pandemia.
En Iberoamérica, el protagonismo estatal fue un rasgo central en la narrativa mediática, tal como observan Zunino y Arcangeletti (2020) en Argentina, donde los medios digitales reprodujeron masivamente los discursos gubernamentales. Este patrón se repite en otros países de la región. Mellado et al. (2021) muestran que las fuentes políticas dominaron la cobertura del Covid-19 en América Latina, aunque con un espacio relevante también para las fuentes sanitarias. Córdoba-Cabús, García-Borrego y Ceballos (2023) revelan un predominio del tono negativo en publicaciones de Twitter de medios latinoamericanos, mientras que Núñez-Gómez et al. (2020) registran un enfoque crítico hacia la gestión política de la pandemia en la prensa española.
Este contexto se complejiza con fenómenos como la adopción incipiente de contenidos generados por usuarios (Sanseverino & de Lima Santos, 2021), el deterioro de las condiciones laborales del periodismo en la región (de Frutos & Sanjurjo, 2022) y la emergencia de iniciativas de verificación colaborativa como #TómateloEnSerioMx (de León-Vázquez & de la Torre, 2021). Asimismo, se intensificó el uso estratégico de redes sociales por parte de gobiernos locales (Leon-Silva & Perea-Khalifi, 2024) para gestionar la comunicación de riesgo.
A pesar de esta creciente atención académica, persiste un vacío importante en la literatura: faltan estudios comparativos que analicen cómo los medios de comunicación impresos en distintos contextos iberoamericanos enmarcaron discursivamente la pandemia. La mayoría de los estudios previos se han centrado en Europa o América del Norte, o bien han abordado un solo país o medio. Además, son escasos los trabajos que integran sistemáticamente el análisis lingüístico crítico con los enfoques de la agenda-setting y framing, lo que impide comprender con mayor profundidad cómo los discursos mediáticos construyen significados y jerarquías temáticas en contextos de crisis sanitaria.
Este estudio aborda dicha laguna mediante el análisis de discursos periodísticos en tres medios de referencia en Iberoamérica: El Comercio (Perú), La Nación (Argentina) y El País (España). A través de un enfoque dual —el análisis lingüístico crítico, que examina las relaciones de poder y representación ideológica en el lenguaje (Fairclough, 1989; van Dijk, 1993; Hart, 2016; Izhatullaili, 2018) y el análisis de la agenda-setting y framing, que permite identificar los temas prioritarios y los encuadres dominantes (Ogbodo et al., 2020; Rossmann et al., 2018)—, se propone estudiar cómo estos medios estructuraron la cobertura de la pandemia en tres contextos sociopolíticos distintos, pero culturalmente vinculados.
Las preguntas que orientan esta investigación son: ¿cómo se estructuran lingüística y semánticamente los discursos sobre el Covid-19 en los diarios seleccionados? ¿Qué actores son más prominentes en esta cobertura y cómo se les representa? ¿Cuáles son los temas principales establecidos en la agenda mediática y cómo se enmarcan en diferentes contextos nacionales? Las respuestas a estas preguntas permitirán comprender con mayor profundidad las dinámicas mediáticas iberoamericanas durante una crisis sanitaria global, y aportarán elementos al desarrollo teórico del análisis del discurso en medios.
Configurando realidades: el lenguaje y la agenda mediática en la cobertura del Covid-19
En este artículo exploramos los discursos periodísticos sobre la pandemia del Covid-19 en medios iberoamericanos, utilizando como marco teórico el análisis lingüístico crítico y el establecimiento de la agenda-setting y framing. Este enfoque dual nos permite adentrarnos en las complejidades de cómo se comunica la pandemia y cómo se construyen sus significados a través del lenguaje y la selección de temas en los medios.
El análisis lingüístico crítico que se aplica en este estudio se enmarca en el Análisis Crítico del Discurso (ACD), un enfoque interdisciplinario que examina cómo el lenguaje en los textos mediáticos refleja y reproduce relaciones de poder, ideologías y estructuras sociales (Fairclough, 1989; van Dijk, 1993). Este enfoque es particularmente útil para analizar cómo los medios de comunicación construyen significados sobre la pandemia del Covid-19, ya que permite explorar no solo el contenido de los textos, sino también las estructuras lingüísticas y semánticas que subyacen a la representación de la realidad. Siguiendo a Izhatullaili (2018) y Hart (2016), el análisis crítico se centra en cómo los medios seleccionados enmarcan la pandemia y cómo estas narrativas pueden influir en la percepción pública, desvelando las relaciones de poder y las ideologías que se manifiestan en el discurso.
En este sentido, Hart (2016) examina en detalle la descripción semántica de construcciones léxicas, gramaticales y textuales, modelando las estructuras conceptuales invocadas por el uso del lenguaje, y considerando las funciones o implicaciones ideológicas potenciales de esas estructuras. Este enfoque implica un análisis socio-semiótico de las caracterizaciones semánticas de las formas lingüísticas, permitiendo identificar cómo las representaciones discursivas pueden influir en la manera en que se perciben y comprenden determinados fenómenos sociales.
Por otro lado, Izhatullaili (2018) enfatiza que el ACD examina el uso del lenguaje tanto en sus características lingüísticas como en su práctica social. Su estudio destaca cómo las estructuras de las palabras construyen el significado, analizando los niveles léxico-gramaticales en función del significado experiencial (ideacional), interpersonal y textual de los textos. En esta etapa de descripción, el análisis no se limita a la forma o la sintaxis, sino que se extiende al significado y a su uso en la construcción y transmisión de ideologías o perspectivas particulares. Así, ambos enfoques permiten una comprensión más profunda de cómo el discurso mediático moldea la percepción de la pandemia a través de la selección y organización del lenguaje.
Asimismo, el análisis de establecimiento de la agenda-setting y framing, ilustrado en los trabajos de Ogbodo et al. (2020) y Rossmann et al. (2018), examina cómo los medios seleccionan y presentan temas específicos, influyendo en la percepción y opinión pública sobre el Covid-19. Ogbodo et al. (2020) identifican los marcos predominantes en la cobertura global de la pandemia y analizan cómo las elecciones de palabras en los medios contribuyen a estos marcos. Rossmann et al. (2018) comparan la cobertura de la prensa de calidad y sensacionalista sobre la pandemia de A/H1N1, encontrando una tendencia a amplificar los riesgos y utilizar marcos que intensifican el riesgo más que los comunicados de prensa.
Este enfoque nos ayudará a entender qué temas son resaltados por los medios y cómo se enmarcan, enfocándonos en aspectos como la atribución de responsabilidad, el conflicto y las consecuencias económicas de la pandemia. El análisis de framing, en particular, nos permite descubrir el énfasis puesto en diferentes encuadres y cómo estos influyen en la percepción del público.
La integración de estas teorías proporciona una visión completa de cómo se narran y se construyen los discursos periodísticos sobre la pandemia en medios iberoamericanos: mientras que el análisis lingüístico crítico ofrece una visión detallada de la construcción del lenguaje y la representación de actores en los textos, el análisis de establecimiento de la agenda-setting y framing ofrece una comprensión más amplia de los temas prioritarios y de cómo los medios moldean la percepción pública sobre la pandemia. En relación con lo anterior, estos enfoques nos permiten comprender mejor cómo los medios iberoamericanos han enmarcado y comunicado la crisis sanitaria del Covid-19.
Método
La investigación abarcó el periodo del 30 de enero de 2020 al 8 de enero de 2021 y se fundamentó en el análisis de 1 043 unidades de información provenientes de los diarios El Comercio (Perú), La Nación (Argentina) y El País (España). La elección de estos tres periódicos responde a un criterio estratégico de diversidad geográfica, política y mediática dentro del espacio iberoamericano. Se seleccionaron Perú, Argentina y España por representar contextos sociopolíticos y culturales distintos, pero conectados históricamente por el idioma y por tradiciones mediáticas comunes. Esta selección permite observar cómo se articula el discurso sobre una crisis global desde medios impresos con orientaciones editoriales diferentes.
Asimismo, El Comercio, La Nación y El País fueron elegidos por su alta circulación, su reconocida influencia en la formación de la opinión pública (González, 2015; García, 2022) y por su relevancia en la construcción del discurso público sobre la pandemia del Covid-19. Además, cada uno presenta perfiles editoriales representativos en sus respectivos países: La Nación, con una línea liberal-conservadora; El Comercio, con una orientación conservadora y perteneciente al Grupo El Comercio que concentra alrededor del 80 % del mercado de prensa en el Perú, y El País, identificado con una línea de centroizquierda y con una amplia proyección internacional. Estos medios, además, forman parte de conglomerados de comunicación con peso en sus sistemas mediáticos, lo que permite analizar dinámicas de cobertura que no se explican únicamente por decisiones individuales de redacción, sino también por estructuras institucionales y editoriales más amplias.
En conjunto, la inclusión de estos tres diarios busca ofrecer una muestra representativa —aunque no exhaustiva— de cómo se construyó discursivamente la pandemia en medios impresos de gran influencia dentro del espacio iberoamericano.
Las versiones analizadas correspondieron a las ediciones impresas de cada medio, obtenidas a través de la plataforma PressReader, que ofrece réplicas digitales de los periódicos en su formato impreso original. A diferencia de los estudios que trabajan con muestras parciales, en este caso se analizó la totalidad de las noticias publicadas sobre la pandemia en el período de estudio, lo que permitió una revisión exhaustiva del discurso mediático. Para la identificación de los artículos relevantes, se emplearon palabras clave como coronavirus, pandemia, Covid-19, cuarentena, crisis sanitaria, confinamiento y vacunación. Se incluyeron únicamente noticias informativas y reportajes de análisis, excluyéndose editoriales, columnas de opinión y notas breves sin desarrollo narrativo. La cobertura completa de este universo de noticias garantiza una representación fiel de la manera en que cada medio abordó la pandemia, asegurando un análisis comparativo robusto entre los tres periódicos.
Se utilizaron dos enfoques metodológicos complementarios: el análisis lingüístico crítico y el análisis de contenido (establecimiento de una agenda y categorización de marcos informativos o frames), con el objetivo de examinar la estructura del discurso periodístico y la manera en que se enmarcaron los principales temas de la pandemia.
Análisis lingüístico crítico
El análisis lingüístico crítico permitió examinar la construcción discursiva de la pandemia en los medios seleccionados, identificando patrones en la estructura sintáctica y semántica de los textos. Para ello, se aplicaron tres niveles de análisis.
a. Análisis semántico-textual: se examinó la estructura de los textos periodísticos con el fin de identificar los temas principales y su jerarquización. Se prestó especial atención a la organización de la información y la forma en que se establecían relaciones entre diferentes conceptos dentro del discurso periodístico.
b. Análisis sintáctico-semántico: se identificaron los actores principales en los discursos sobre la pandemia, diferenciando entre agentes (actores con roles activos y de toma de decisiones) y pacientes (actores que son afectados por la crisis sanitaria). Este análisis permitió caracterizar la representación de distintos grupos en la narrativa mediática.
c. Evaluación de la estructura léxica: se analizó el uso de ciertos recursos lingüísticos como la descripción, la narración y la argumentación, con el objetivo de determinar las estrategias discursivas predominantes en cada medio. Se buscó identificar cómo estas estrategias contribuían a la construcción de significados sobre la pandemia y a la percepción del riesgo en la opinión pública. Este análisis fue realizado por un solo investigador, y sus resultados cualitativos fueron triangulados con los hallazgos cuantitativos obtenidos en el análisis de contenido.
Este enfoque, basado en el ACD, permitió desvelar cómo el lenguaje en los medios contribuye a la construcción de significados ideológicos y a la reproducción de ciertas narrativas sobre la pandemia.
Análisis de establecimiento de la agenda-setting y framing
El análisis del establecimiento de la agenda-setting y framing se enfocó en identificar los principales temas abordados por los medios y la manera en que estos fueron enmarcados en la cobertura de la pandemia. Para ello, se realizaron las siguientes etapas:
a. Análisis de contenido: se llevó a cabo un estudio cuantitativo de los artículos periodísticos, examinando tres dimensiones clave: la frecuencia temática, la extensión de los textos y su ubicación dentro del periódico. Este enfoque permitió identificar qué aspectos de la pandemia recibieron mayor atención editorial y cómo los medios priorizaron la información en un contexto de crisis. Se incorporaron variables adicionales como la presencia de recursos visuales (gráficos y tablas) y la posición en la página (portada y secciones interiores), bajo el supuesto de que estos elementos reflejan decisiones editoriales estratégicas, especialmente en escenarios de alta incertidumbre. Asimismo, se registró el uso de estructuras narrativas, como la pirámide invertida, por su importancia en la organización jerárquica de la información. Los temas abordados fueron clasificados en categorías establecidas inductivamente a partir del análisis del corpus, entre ellas: salud y respuesta a la pandemia, impacto social y económico, políticas gubernamentales, educación, vacunación, entre otros. Esta metodología no solo permitió cuantificar la cobertura temática, sino también evidenciar cómo las decisiones editoriales —en términos de extensión, ubicación y recursos gráficos— contribuyeron a jerarquizar los contenidos durante la emergencia sanitaria.
b. Categorización de marcos informativos: se identificaron cinco marcos predominantes en la cobertura del Covid-19.
• Conflicto: presentación de la pandemia en términos de disputas, controversias o enfrentamientos entre actores.
• Atribución de responsabilidad: identificación de actores responsables de la gestión de la crisis (gobiernos, instituciones, individuos).
• Interés humano: historias que destacaban el impacto personal y comunitario de la pandemia.
• Consecuencias económicas: cobertura enfocada en los efectos financieros, como el desempleo y la recesión.
• Moralidad: narrativas que incluían juicios éticos o reflexiones sobre la responsabilidad social durante la pandemia.
La codificación de los marcos informativos fue realizada manualmente por dos investigadores de manera independiente. En los casos donde hubo discrepancias en la clasificación de los artículos, se realizó una discusión conjunta hasta alcanzar un consenso. Aunque no se aplicaron coeficientes estadísticos de fiabilidad intercodificadores, este proceso permitió garantizar la consistencia en la categorización y reducir la subjetividad en la asignación de los marcos.
Análisis
Para el procesamiento de los datos cuantitativos se utilizó el software estadístico SPSS (Statistical Package for the Social Sciences). Los datos de los 1 043 artículos analizados fueron organizados en una base de datos estructurada con variables categóricas que representaban los diferentes marcos informativos y otras características del contenido periodístico.
Se aplicaron las siguientes técnicas estadísticas:
a. Análisis de frecuencias: se calcularon las frecuencias relativas y absolutas de los temas y marcos informativos identificados en cada periódico.
b. Análisis descriptivo: se analizaron estadísticas descriptivas sobre la extensión de los artículos, la distribución de los marcos en los diferentes periódicos y la caracterización de los agentes mencionados en la cobertura periodística.
No se realizaron pruebas inferenciales ni análisis de relaciones causales entre variables, dado que el objetivo principal del estudio fue identificar patrones generales en el uso de marcos informativos. No obstante, se reconoce que, incluso en enfoques descriptivos, la incorporación de medidas de dispersión y pruebas de confiabilidad podría haber enriquecido la caracterización de dichos patrones, por lo que esta omisión representa una limitación metodológica del presente trabajo.
El proceso de categorización de los marcos informativos se llevó a cabo mediante una codificación manual realizada por dos investigadores de manera independiente. La asignación de los marcos se basó en un conjunto de criterios predefinidos que permitieron identificar patrones narrativos recurrentes en las noticias analizadas. En los casos donde hubo discrepancia en la clasificación de un artículo, se llevó a cabo una discusión conjunta entre los investigadores para alcanzar un consenso. Aunque no se aplicaron coeficientes estadísticos de fiabilidad intercodificadores, este procedimiento garantizó la consistencia en la clasificación y redujo la subjetividad en la codificación.
Para reforzar la transparencia del proceso metodológico, se documentaron los criterios de clasificación en una guía de codificación utilizada por los investigadores. Esta guía estableció las definiciones operacionales de cada marco y proporcionó ejemplos concretos de su aplicación en los textos periodísticos analizados. A continuación, se presentan algunos ejemplos de categorización:
a. Atribución de responsabilidad: "El gobierno es responsable de la falta de insumos médicos en los hospitales".
b. Interés humano: "Un médico en la primera línea de batalla contra el Covid-19 narra su experiencia".
c. Conflicto: "Empresarios y sindicatos chocan por las medidas económicas adoptadas en la pandemia".
Asimismo, todos los datos utilizados en el análisis fueron registrados y almacenados para su posible consulta en futuras investigaciones. Si bien no están disponibles en un repositorio público, pueden ser solicitados a los investigadores, con el fin de replicar o verificar los hallazgos del estudio.
Resultados
Datos generales
En la cobertura del Covid-19, El Comercio contribuyó con el 28 % de los artículos. Por otro lado, La Nación tuvo la mayor contribución con el 47 % del total. Este alto porcentaje refleja el compromiso del medio con la cobertura exhaustiva de la pandemia, proporcionando una amplia gama de informaciones y análisis sobre el tema. Finalmente, El País aportó el 24 % de la cobertura. Aunque representó la menor proporción en comparación con los otros dos medios, su contribución, como se va a conocer más adelante, no deja de ser significativa, mostrando el esfuerzo por informar a sus lectores sobre la evolución de la pandemia.
Asimismo, desde una perspectiva de género periodístico, la nota informativa domina con un 76 %, evidenciando una inclinación por informar de manera actualizada y objetiva. Las crónicas representan el 15 %, ofreciendo análisis detallados, y las entrevistas, con un 5 %, aportan perspectivas personales. La fotografía de prensa documental es mínima, representando solo el 1 % del total.
En términos de estructura informativa, la pirámide invertida es la forma predominante, utilizada por el 73 % de los artículos en promedio, destacando una estrategia editorial que busca presentar información crítica de manera inmediata. La descripción emerge como la forma de expresión lingüística dominante, con un promedio de 8,8 %, subrayando una preferencia por la exposición objetiva de los hechos.
Análisis
Figura 1. Participación del agente
Fuente: elaboración propia.
En la Figura 1 se observa que la participación de agentes en la cobertura de noticias relacionadas con el Covid-19 presenta diferencias significativas entre los periódicos El Comercio, La Nación y El País. Al analizar la presencia de agentes transactivos, aquellos directamente involucrados en acciones o interacciones, El Comercio muestra la mayor proporción con un 53 %, seguido por La Nación con un 39 % y El País con un 38 %. Este predominio en El Comercio sugiere una tendencia a enfocarse en la acción y la interacción directa más que los otros dos periódicos, posiblemente reflejando un estilo de reportaje que pone mayor énfasis en los eventos y sus protagonistas.
Por otro lado, los agentes no transactivos, que no están directamente involucrados en la acción o interacción, son más frecuentes en La Nación con un 49 %, lo cual es significativamente más alto que en El Comercio y El País, con un 32 % y un 33 % respectivamente. Esto indica que La Nación puede preferir un enfoque que incluye una gama más amplia de perspectivas y contextos, proporcionando un relato más holístico de los eventos.
Los agentes relacionales, que pueden estar involucrados de manera indirecta a través de la temática o la narrativa, tienen una representación más fuerte en El País con un 28 %, comparado con El Comercio (15 %) y La Nación (12 %). El enfoque en los agentes relacionales por parte de El País podría sugerir un intento de conectar los eventos con un contexto más amplio o con impactos a largo plazo, lo que podría facilitar una comprensión más profunda de las implicaciones de la pandemia.
En conjunto, estos porcentajes muestran cómo los diferentes periódicos han adoptado enfoques distintos en la caracterización de los agentes dentro de su cobertura de la pandemia. El Comercio destaca por presentar una cobertura más centrada en la acción, La Nación por incluir una variedad más amplia de agentes en sus relatos y El País por enfatizar las conexiones relacionales, posiblemente buscando ofrecer a sus lectores una comprensión más contextualizada de la crisis sanitaria.
Figura 2. Extensión
Fuente: elaboración propia.
En general, como se evidencia en la Figura 2, el rango más común fue de entre un cuarto y dos cuartos de página (28 %), seguido muy de cerca por el rango de entre media página y tres cuartos de página (27 %). Las noticias con una extensión de más de una página representan una proporción menor dentro del total analizado (4 %).
La distribución de la importancia y extensión de los artículos sobre el Covid-19 en los periódicos revela patrones distintos en la cobertura de la pandemia. Artículos que ocupan más de una página son más comunes en El País (9 %), lo que puede indicar una tendencia a profundizar en temas complejos o a dedicar más espacio a ciertos temas, en comparación con El Comercio (3,4 %) y La Nación (2,63 %).
La proporción de artículos que ocupan una página completa es mayor en El País (20 %), seguido por El Comercio (16 %) y La Nación (6 %). Esto nos da a entender que El País otorga una mayor prominencia a ciertas historias, posiblemente señalando una estrategia editorial que enfatiza en la importancia de la cobertura exhaustiva de eventos seleccionados.
Respecto a los artículos que cubren más de tres cuartos de página, pero que no son completos, El País (16 %) y El Comercio (12 %) presentan una mayor proporción en comparación con La Nación (8 %), lo cual podría reflejar diferencias en la asignación de espacio editorial para el análisis detallado.
Cuando se examina la extensión de entre medio y tres cuartos de página, El País lidera nuevamente con un 30 %, lo que puede indicar una preferencia por artículos de tamaño moderado que proporcionan información sustancial sin extenderse a toda la página, seguido muy de cerca por El Comercio (27 %) y La Nación (25 %).
Los artículos de tamaño pequeño, entre un cuarto y dos cuartos de página, pero sin llegar a media página, son más prevalentes en La Nación (35 %), lo que puede sugerir un enfoque en brevedad y concisión, o en la cobertura de una mayor diversidad de temas con menos profundidad, mientras que El Comercio (23 %) y El País (19 %) presentan menos artículos de este tamaño.
Por último, los artículos que ocupan menos de un cuarto de página aparecen con mayor frecuencia en La Nación (23 %), comparado con El Comercio (19 %) y El País (6 %), lo cual podría reflejar una estrategia de La Nación para proporcionar noticias breves o resúmenes de eventos.
Figura 3. Inclusión de gráficos
Fuente: elaboración propia.
Como se aprecia en la Figura 3, el análisis de la inclusión de gráficos en la cobertura periodística de la pandemia revela diferencias significativas en la utilización de recursos visuales entre los periódicos. El Comercio incorpora gráficos en un alto porcentaje de sus artículos (97 %), lo que sugiere una fuerte preferencia por complementar la información textual con elementos visuales. Esta práctica puede enriquecer la comprensión del lector y ofrecer una representación más clara de los datos y tendencias relacionados con la pandemia.
En contraste, La Nación presenta una menor proporción de gráficos en sus artículos, con un 57 %. Este enfoque más conservador en el uso de elementos visuales podría reflejar una estrategia editorial diferente o limitaciones en los recursos gráficos disponibles. A pesar de ello, más de la mitad de los textos aún incluyen gráficos, lo que indica una apreciación de su valor informativo.
El País muestra una inclinación similar a El Comercio al utilizar gráficos en un 89 % de sus artículos, lo que subraya una estrategia editorial que valora los recursos visuales como una herramienta clave para la presentación de la información.
Figura 4. Ubicación de página
Fuente: elaboración propia.
Como se observa en la Figura 4, en El Comercio, un 63 % de los artículos se publican en páginas pares, en comparación con un 37 % en páginas impares. La Nación muestra una distribución más equilibrada, con un 61 % de los artículos en páginas pares y un 39 % en impares. El País también sigue esta tendencia, colocando el 63 % de sus artículos en páginas pares y el 37 % en impares.
Este patrón sugiere una ligera preferencia por publicar artículos en páginas pares, lo que puede estar relacionado con la maquetación y el diseño de la experiencia de lectura del periódico. Las páginas pares, a menudo al lado izquierdo de una doble extensión, pueden ser estratégicamente utilizadas para artículos de mayor relevancia o para mantener la continuidad en la narrativa informativa.
La casi uniformidad en los porcentajes entre los tres periódicos indica que la decisión de dónde colocar un artículo no es aleatoria, sino que puede ser parte de una estrategia deliberada que busca optimizar la visibilidad y el impacto de la información presentada.
Figura 5. Temas predominantes
Fuente: elaboración propia.
La figura 5 revela una clara predominancia de la cobertura sobre la Salud y Respuesta a la Pandemia, lo que refleja la centralidad de la crisis sanitaria en el discurso mediático. Este enfoque es seguido por un marcado interés en el Impacto Social y Económico, enfatizando cómo los medios han priorizado las consecuencias amplias de la pandemia más allá de la esfera de la salud. Las Políticas y Medidas Gubernamentales también representan una fracción significativa, indicando la importancia de las decisiones políticas y su impacto percibido en la gestión de la crisis. Categorías como Educación y Desarrollo y Distribución de Vacunas reflejan preocupaciones específicas, pero esenciales, evidenciando un enfoque en las soluciones a largo plazo y en los esfuerzos por mitigar las repercusiones de la pandemia.
En el análisis de los titulares de estos tres periódicos, se observan patrones significativos en la cobertura de temas relacionados con la pandemia y sus efectos. En El País, la Salud y Respuesta a la Pandemia recibió la mayor atención con el 22,6 % de los titulares, seguido por el Impacto Social y Económico con un 14,5 % y las Políticas y Medidas Gubernamentales con un 12 %. El Comercio mostró una tendencia similar, priorizando la Salud y Respuesta a la Pandemia con un 24 %, pero con un enfoque ligeramente más alto en Economía y Apoyo Financiero, e Impacto Social y Económico, ambos superando el 13 %. La Nación, por su parte, presentó un panorama comparable, destacando igualmente la Salud y Respuesta a la Pandemia con un 22 % y mostrando interés en el Impacto Social y Económico, y las Políticas y Medidas Gubernamentales, ambos con porcentajes cercanos al 15 % y 12 % respectivamente.
Figura 6. Presencia de marcos en las informaciones
Fuente: elaboración propia.
En el análisis de marcos, el Conflicto emerge como el más sobresaliente, capturando el 45 % de la atención. No menos notables son las categorías de Atribución de responsabilidad e Interés humano, con un 22,8 % y un 21,1 % respectivamente, seguidos por Aspectos económicos, que conforman un 11 % de las narrativas. En contraste, Moralidad apenas se destaca en el panorama informativo con un marginal 0,2 % (Figura 6).
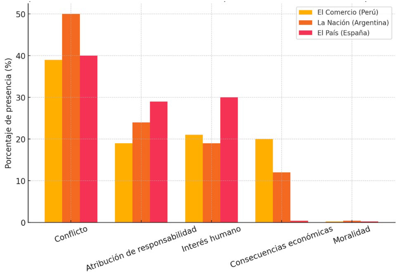
Figura 7. Comparación de los marcos informativos predominantes en los tres diarios
Fuente: elaboración propia.
En la Figura 7, la evaluación de la presencia de marcos en las informaciones publicadas por los medios estudiados indica tendencias notables en la cobertura de la pandemia. Los marcos de Atribución de responsabilidad muestran una presencia variable, con El País liderando con un 29 %, seguido por La Nación con un 24 % y El Comercio con un 19 %. Esto nos da a entender que El País enfatiza más la identificación de las partes responsables en el contexto de la pandemia.
El marco de Interés humano, que resalta las historias personales y el impacto en individuos, es más destacado en El País con un 30 %, en comparación con El Comercio (21 %) y La Nación (19 %). Esto podría reflejar un enfoque editorial que prioriza las experiencias humanas y el impacto personal de la crisis sanitaria en El País.
El Conflicto es el marco más utilizado en La Nación con un 50 %, significativamente mayor que en El Comercio (39 %) y El País (40 %). La elevada presencia de este marco en La Nación puede indicar una preferencia por reportajes que presentan la pandemia en términos de disputas o controversias.
En cuanto a la Moralidad, este marco es casi inexistente en los tres periódicos, con una presencia mínima solo en La Nación (0.40 %). La escasez de este marco refleja una cobertura que, en gran medida, no se enfoca en cuestiones de bien y mal, o juicios éticos relacionados con la pandemia.
Por último, el marco Consecuencia económica se observa con mayor frecuencia en El Comercio (20 %) y La Nación (12 %), mientras que en El País es casi nulo (0,39 %). La atención significativa dada por El Comercio a la economía puede señalar una orientación hacia las consecuencias financieras y comerciales de la pandemia.
Discusión
Los hallazgos de este estudio ofrecen una visión detallada de cómo los medios iberoamericanos seleccionados han enmarcado y comunicado la pandemia del Covid-19, y cómo estas narrativas han influido en la percepción pública.
En primer lugar, la predominancia de la nota informativa y la estructura de la pirámide invertida en los tres periódicos analizados refleja una estrategia editorial orientada a la entrega rápida y objetiva de información, en línea con lo señalado por Duncan (2009) y Lee y Basnyat (2013) sobre el papel de los medios como intermediarios clave entre las autoridades sanitarias y el público. La estructura de la pirámide invertida, que prioriza la información más relevante al inicio del texto, parece responder a una necesidad de claridad y control de la incertidumbre en contextos de crisis sanitarias, como lo argumentan Van den Bulck y Custers (2009) en relación con la percepción del riesgo ante enfermedades. Este fenómeno también se observa en el caso argentino, donde los medios digitales han reforzado la centralidad del discurso gubernamental en la narrativa mediática de la pandemia (Zunino & Arcangeletti, 2020).
En segundo lugar, el predominio de la descripción como forma de expresión lingüística en los artículos analizados refuerza la idea de que los medios buscan presentar los hechos de manera objetiva. Sin embargo, este hallazgo debe interpretarse en conjunto con los marcos utilizados en la cobertura. Como señalan Ogbodo et al. (2020), las elecciones lingüísticas en el discurso periodístico no solo transmiten información, sino que también enmarcan los eventos de manera que influyen en la interpretación del público. Pese a la aparente objetividad de la descripción, la cobertura mediática estuvo marcada por un tono predominantemente negativo, especialmente en el caso español (Núñez-Gómez et al., 2020), lo que sugiere que las emociones y la carga narrativa pueden incidir en la percepción de la pandemia, incluso cuando la presentación informativa sigue un esquema factual.
Asimismo, los hallazgos del análisis lingüístico crítico permiten reforzar y matizar los resultados cuantitativos obtenidos en el análisis de contenido. Por ejemplo, la mayor presencia de agentes transactivos en El Comercio (53 %) no solo indica una tendencia editorial hacia la acción directa, sino que también se refleja en un uso más frecuente de estructuras verbales en voz activa, con verbos como "anuncia", "ordena" o "implementa", lo cual enfatiza la agencia institucional o gubernamental en la gestión de la crisis. Este patrón discursivo sugiere una narrativa centrada en la acción ejecutiva, coherente con una representación de la pandemia como un problema operativo y logístico.
De forma similar, el predominio del marco de atribución de responsabilidad en El País (29 %) se corresponde con estructuras lingüísticas en las que se señala directamente a instituciones o autoridades como sujetos responsables, muchas veces mediante construcciones explícitas como "el gobierno falló en..." o mediante el uso de estructuras modales como "debería haber...", que intensifican la evaluación moral implícita.
En contraste, en La Nación, donde el marco de conflicto es más visible (45 %), se identificó un uso discursivo más polarizante, con oposiciones binarias (gobierno vs. oposición, salud vs. economía) y un léxico que enfatiza la confrontación ("críticas", "choque", "acusa"). Estas evidencias sugieren que los marcos no solo están presentes en términos
temáticos, sino también en las formas discursivas utilizadas por cada medio, lo que refuerza la necesidad de análisis combinados que integren dimensiones estructurales y lingüísticas en el estudio del discurso periodístico.
Además, la presencia del interés humano en El País y la atención a las consecuencias económicas en El Comercio sugieren que los medios buscan también contextualizar la pandemia en términos de su impacto en la vida cotidiana y en la economía. Este enfoque se vincula con el análisis de Chipidza et al. (2020), quienes observaron que los temas dominantes en la cobertura temprana del Covid-19 no siempre estaban relacionados con la salud, sino también con aspectos sociales y económicos. En el caso español, la cobertura enfatizó no solo el impacto sanitario, sino también el costo político de la gestión gubernamental, lo que refuerza el papel de los medios en la configuración de la opinión pública y la responsabilidad política (Núñez-Gómez et al., 2020).
La baja presencia del marco de Moralidad en los tres periódicos (0.2 %) indica que la cobertura evitó en gran medida juicios éticos explícitos sobre la pandemia. Este resultado es consistente con los estudios de Hart (2016), quien sostiene que el lenguaje en los medios puede influir en la percepción de culpa y responsabilidad en contextos políticos. La ausencia de un encuadre moral en la cobertura sugiere que los medios priorizaron una narrativa basada en hechos y consecuencias, evitando interpretaciones éticas o ideológicas sobre la gestión de la crisis. Sin embargo, en Argentina, la cobertura digital adoptó una postura más politizada, representando la gestión del gobierno de manera diferenciada según la orientación ideológica de cada medio (Zunino & Arcangeletti, 2020), lo que refuerza la idea de que la cobertura mediática no es neutral, sino que responde a lógicas discursivas específicas.
En su conjunto, estos hallazgos confirman que la cobertura mediática de la pandemia en Iberoamérica no solo transmitió información, sino que también construyó una narrativa específica sobre la crisis sanitaria. A través de la selección de marcos, el énfasis en ciertos actores y la configuración del discurso, los medios no solo reflejaron la realidad de la pandemia, sino que la interpretaron y moldearon en coherencia con los principios del framing y la agenda-setting.
Conclusiones
A través de la aplicación de métodos de análisis lingüístico crítico y de establecimiento de la agenda-setting y framing, se ha logrado una visión detallada de cómo se estructuran los discursos mediáticos y se representan los actores clave en la narrativa de la pandemia.
El estudio revela una marcada preferencia por la entrega de información actualizada y objetiva, predominando la nota informativa como género periodístico y la estructura de la pirámide invertida en la presentación de noticias. Este enfoque sugiere una respuesta editorial a la necesidad de información rápida y accesible, acorde con los hallazgos de autores, como Duncan (2009), Lee y Basnyat (2013) y Van den Bulck y Custers (2009), quienes han documentado la influencia de los medios en la percepción pública en situaciones de crisis sanitaria previas.
La cobertura por parte de los medios seleccionados también refleja una estrategia comunicativa que equilibra la descripción objetiva con una narrativa más rica y diversificada. Los resultados indican que, mientras los medios buscan informar con precisión, también se esfuerzan por proporcionar un contexto más profundo, en línea con las perspectivas ofrecidas por estudios más recientes sobre la pandemia del Covid-19, como los de Kousha y Thelwall (2020), Buturoiu y Voloc (2021) y Chipidza et al. (2020).
El análisis de la cobertura destaca una utilización estratégica de recursos visuales y una inclusión diferenciada de marcos informativos, lo que refleja la intención de los medios de ofrecer una cobertura multifacética de la pandemia. La representación de los agentes, ya sean transactivos, no transactivos o relacionales, muestra cómo cada periódico ha elegido presentar los protagonistas de la narrativa de la pandemia, ofreciendo una variedad de perspectivas que van desde la acción directa hasta un relato más holístico de los eventos.
La cobertura mediática de la pandemia del Covid-19, analizada a través de tres periódicos, muestra una preocupación universal por las repercusiones sanitarias, económicas y sociales del virus, reflejando la importancia dada a la salud pública, el impacto económico y social, y, en menor medida, a la educación, el transporte y las respuestas internacionales. El análisis de marcos revela que el Conflicto es el aspecto más destacado, seguido por la Atribución de responsabilidad e Interés humano, evidenciando una tendencia a presentar la pandemia en términos de disputas, responsabilidades y el impacto en las personas. Sin embargo, la Moralidad recibe escasa atención, indicando una cobertura que omite en gran medida las reflexiones éticas. Notablemente, El País se enfoca más en las historias personales y en identificar responsables, mientras que La Nación prefiere reportajes que enmarcan la crisis en términos de conflicto. El Comercio destaca por su atención a las consecuencias económicas, sugiriendo una orientación hacia los impactos financieros de la pandemia. Este panorama mediático ejemplifica las diversas aproximaciones editoriales y la complejidad de las narrativas en torno a la crisis global.
En cuanto a las limitaciones, cabe señalar la ausencia de pruebas estadísticas de confiabilidad, como los coeficientes intercodificadores, que podrían haber fortalecido la consistencia de la categorización de los marcos informativos. Si bien se aplicó un proceso de codificación doble consensuada entre los investigadores, esta limitación debe ser considerada al interpretar los hallazgos, especialmente en relación con su replicabilidad.
En conclusión, este estudio proporciona perspectivas valiosas sobre las prácticas periodísticas y la construcción de discursos en la cobertura del Covid-19, destacando la relevancia y la responsabilidad de los medios en la configuración de la percepción pública y la respuesta a la crisis sanitaria. Las diferencias y similitudes en la cobertura mediática entre los diarios reflejan no solo las preferencias editoriales, sino también la adaptabilidad y el compromiso de los medios iberoamericanos para informar sobre una crisis sanitaria global, enfatizando la necesidad de estrategias de comunicación en salud pública más efectivas y atractivas en el futuro.
Referencias
1. Buturoiu, D., & Voloc, A. (2021). Media Coverage in Times of Crisis. Intermedia Agenda-setting of COVID-19 -related Topics. Romanian Journal ofCommunication and Public Relations. 23(2), 7-22. https://doi.org/10.21018/RJCPR.2021.2.323
2. Chipidza, W., Akbaripourdibazar, E., Gwanzura, T., & Gatto, N. (2020). Topic Analysis of Traditional and Social Media News Coverage of the Early COVID-19 Pandemic and Implications for Public Health Communication. Disaster Medicine and Public Health Preparedness. 16(5), 1881-1888. https://doi.org/10.1017/dmp.2021.65
3. Córdoba-Cabús, A., García-Borrego, M., & Ceballos, Y. (2023). Sentiment Analysis toward the COVID-19 Vaccine in the Main Latin American Media on Twitter: The Cases of Argentina, Chile, Colombia, Mexico, and Peru. Vaccines, 11(10). https://doi.org/10.3390/vaccines11101592
4. de Frutos, R., & Sanjurjo, S. (2022). COVID-19 Impact on Latin American Journalism: Between job insecurity and psychological consequences. Cuadernos.info, (51), 114-137. https://doi.org/10.7764/cdi.51.27329
5. de León-Vázquez, S., & de la Torre, M. (2021). Collaborative journalism and covid-19: The pandemic's news coverage in mexican digital media. Culturales, 9, 1-34. https://doi.org/10.22234/recu.20210901.e623
6. Duncan, B. (2009). How the media reported the first days of the pandemic (H1N1) 2009: results of EU-wide media analysis. Euro Surveillance: Bulletin Europeen Sur Les Maladies Transmissibles = European Communicable Disease Bulletin, 14(30). https://doi.org/10.2807/ESE.14.30.19286-EN
7. Fairclough, N. (1989). Language and Power. Longman.
8. Hart, C. (2016). Event-Frames Affect Blame Assignment and Perception of Aggression in Discourse on Political Protests: An Experimental Case Study in Critical Discourse Analysis. Applied Linguistics, 39(3), 400-421. https://doi.org/10.1093/APPLIN/AMW017
9. Focás, B., & Zunino, E. (2020). Cobertura mediática y consumo de noticias durante el confinamiento. Papeles de Trabajo: La Revista Electrónica del IDAES, 14(26), 39-54. https://revistasacademicas.unsam.edu.ar/index.php/papdetrab/article/view/1163
10. García, A. (2022). La imagen de la Iglesia en la prensa Latinoamericana de referencia dominante durante la pandemia del Covid-19. Church, Communication and Culture, 7, 114-126. https://doi.org/10.1080/23753234.2022.2031237
11. González, M. (2015). Influencias políticas y empresariales en la prensa española: El cambio de dirección en El País. Revista de Comunicación de la SEECI, (38), 92-113. https://doi.org/10.15198/seeci.2015.38.182-224
12. Ioannidis, J., Tezel, A., & Jagsi, R. (2021). Overall and COVID-19-specific citation impact of highly visible COVID-19 media experts: bibliometric analysis. BMJ Open, 11. https://doi.org/10.1136/bmjopen-2021-052856
13. Izhatullaili, I. (2018). Virus Wannacry dalam Teks Berita: Analisis Wacana Kritis atas Laman Kemkominfo, Kompas.com, dan Jawapos.com. Paradigma, Jurnal Kajian Budaya, 8(2). https://doi.org/10.17510/PARA-DIGMA.V8I2.273
14. Kousha, K., & Thelwall, M. (2020). COVID-19 publications: Database coverage, citations, readers, tweets, news, Facebook walls, Reddit posts. Quantitative Science Studies, 1(4), 1068-1091. https://doi.org/10.1162/qss_a_00066
15. Lee, S., & Basnyat, I. (2013). From press release to news: Mapping the framing of the 2009 H1N1 A influenza pandemic. Health Communication, 28(1), 119-132. https://doi.org/10.1080/10410236.2012.658550
16. Leon-Silva, J., & Perea-Khalifi, D. (2024). Crisis management through citizen engagement on Twitter: The case of the covid-19 pandemic in Latin American municipalities. International Public Management Journal. https://doi.org/10.1080/10967494.2024.2382733
17. Martínez-Pérez, C., Alvarez-Peregrina, C., Villa-Collar, C., & Sánchez-Tena, M. (2020). Citation Network Analysis of the Novel Coronavirus Disease 2019 (COVID-19). International Journal of Environmental Research and Public Health, 17(20). https://doi.org/10.3390/ijerph17207690
18. Mellado, C., Hallin, D., Cárcamo, L., Alfaro, R., Jackson, D., Humanes, M. L., Márquez-Ramírez, M., Mick, J., Mothes, C., I-Hsuan, C., Lee, M., Alfaro, A., Isbej, J., & Ramos, A. (2021). Sourcing Pandemic News: A Cross-National Computational Analysis of Mainstream Media Coverage of COVID-19 on Facebook, Twitter, and Instagram. Digital Journalism, 9(9), 1261-1285. https://doi.org/10.1080/21670811.2021.1942114
19. Núñez-Gómez, P., Abuín-Vences, N., Sierra-Sánchez, J., & Mañas-Viniegra, L. (2020). El enfoque de la prensa española durante la crisis del Covid-19. Un análisis del framing a través de las portadas de los principales diarios de tirada nacional. Revista Latina de Comunicación Social, (78), 41-63. https://doi.org/10.4185/RLCS-2020-1468
20. Ogbodo, J., Onwe, E., Chukwu, J., Nwasum, C., Nwakpu, E., Nwankwo, S., Nwamini, S., Elem, S., & Ogbaeja, N. (2020). Communicating health crisis: a content analysis of global media framing of COVID-19. Health Promotion Perspectives, 10(3), 257-269. https://doi.org/10.34172/hpp.2020.41
21. Rossmann, C., Meyer, L., & Schulz, P. (2018). The Mediated Amplification of a Crisis: Communicating the A/ H1N1 Pandemic in Press Releases and Press Coverage in Europe. Risk Analysis, 38(2), 357-375. https://doi.org/10.1111/risa.12889
22. Sanseverino, G., & de Lima, M. (2021). Experimenting with user generated content in journalistic practices: Adopting a user-centric storytelling approach during the COVID-19 pandemic coverage in Latin America. Brazilian Journalism Research, 17(2), 244-279. https://doi.org/10.25200/BJR.V17N2.2021.1369
23. Sherlaw, W., & Raude, J. (2013). Why the French did not choose to panic: a dynamic analysis of the public response to the influenza pandemic. Sociology of Health & Illness, 35(2), 332-344. https://doi.org/10.1111/j.1467-9566.2012.01525.x
24. Van den Bulck, J., & Custers, K. (2009). Television exposure is related to fear of avian flu, an ecological study across 23 member states of the European Union. The European Journal of Public Health, 19(4), 370-374. https://doi.org/10.1093/eurpub/ckp061
25. Van Dijk, T. (1993). Principles of critical discourse analysis. Discourse and Society, 4(2), 243-289. https://doi.org/10.1177/0957926593004002006
26. Zunino, E., & Arcangeletti, C. (2020). La cobertura mediática de la COVID-19 en la Argentina: Un estudio sobre el tratamiento informativo de la pandemia en los principales medios online del país. Prácticas de Ofício: Investigación y Reflexión en Ciencias Sociales, 1(25), 49-72. https://revistas.ungs.edu.ar/index.php/po/article/view/31
