En la sociedad contemporánea, la influencia de los medios de comunicación es indiscutible (Ramos, 2023). Los medios no solo proporcionan información y entretenimiento, sino que también moldean el pensamiento colectivo e influencian decisiones individuales y sociales (Lyu et al., 2023). Sin embargo, la variabilidad en la confianza hacia diferentes canales de comunicación afecta profundamente los hábitos de consumo y las percepciones de las personas (De la Garza & Pineda, 2023).
En Perú, esta realidad se manifiesta debido a que la televisión sigue siendo un medio predominante, consumido por aproximadamente el 86 % de la población, aunque su uso se ha reducido a cinco días a la semana, reflejando una disminución en comparación con años anteriores (Concortv, 2023). A pesar de la competencia del internet, que ahora alcanza al 85 % de los peruanos por más de tres horas diarias, y el auge de las redes sociales como fuentes de entretenimiento e información, destacándose plataformas como Facebook, YouTube, WhatsApp y TikTok, la televisión mantiene su relevancia.
El internet, por otro lado, es valorado por su carácter educativo, entretenido e informativo, consolidándose como un medio esencial en la vida de los ciudadanos, demostrando la dinámica evolución de los medios de comunicación en el país (Concortv, 2023). Este cambio en el panorama mediático peruano, junto con desafíos en la concentración mediática, la falta de pluralidad y la calidad de la información, plantea una situación compleja que merece un análisis detallado.
La investigación es crucial para entender las dinámicas detrás de la confianza y el consumo de medios en Perú. Con el creciente aumento del internet, los hábitos de consumo han cambiado drásticamente (Babutsidze et al., 2023; Barredo et al., 2018; Boursier et al., 2020; Casero-Ripollés, 2020). Paralelamente, la confianza en los medios de comunicación también ha experimentado una evolución notable (Laor & Lissitsa, 2022).
Estudios como los de Ceron (2015), Fletcher y Park (2017), Flintham et al. (2018), Wagner y Boczkowski (2019), Giraldo-Luque et al. (2020), Van Aelst et al. (2021) y Charilaou y Vijaykumar (2023) han demostrado cómo factores sociodemográficos -edad, género, nivel educativo y lugar de origen- se relacionan y pueden influir en la confianza y el consumo de medios de comunicación. No obstante, estos análisis no se centran en el contexto peruano. Entender estos patrones en Perú es fundamental, ya que los hallazgos de esta investigación pueden tener aplicaciones prácticas para aumentar la confianza en los medios y promover una cultura mediática más crítica y bien informada en el país.
En una sociedad cada vez más informada, los medios de comunicación, particularmente los digitales, desempeñan un rol fundamental en la construcción del pensamiento colectivo. La relación entre el consumo y la confianza en los medios de comunicación es bidireccional y compleja. La confianza en un medio puede influir en la cantidad y tipo de consumo de información que realiza un usuario. Al mismo tiempo, el consumo de medios puede afectar la percepción de confianza, pues una mayor exposición a ciertos contenidos o fuentes de información puede reforzar o debilitar la credibilidad percibida de esos medios.
Por otra parte, los estudios de las teorías de la comunicación son importantes al momento de buscar comprender el consumo y la confianza de los medios de comunicación en los ciudadanos peruanos. Históricamente, la teoría de la agenda setting o agenda pública propuesta por McCombs y Shaw (1972) confirmaba por primera vez una correlación significativa entre la agenda pública y la agenda de los medios de comunicación. Los autores consideran que la comprensión de lo que consumen las audiencias generalmente proviene de lo que los medios de comunicación presentan, lo cual explica por qué los medios de comunicación afectan significativamente la atención de las audiencias.
Así mismo, la teoría del cultivo sostiene que la representación de problemas y grupos sociales en la televisión influye en la forma en que las personas perciben el mundo que les rodea (Harbin, 2023). Además, la teoría de la espiral del silencio, propuesta por Noelle-Neumann (1974), sugiere que las personas tienen miedo de expresar opiniones impopulares en público por temor a la exclusión social o represalias. Esta teoría da cuenta de cómo los medios de comunicación pueden influir en la percepción de la opinión pública y reforzar o debilitar ciertas opiniones.
Sin embargo, estas teorías ignoran las diferencias individuales. Con el incremento en el consumo de las redes sociales, los ciudadanos con gran influencia en redes sociales se han convertido muchas veces en líderes de opinión (Yi & Wang, 2022). Aunque el término "agenda individual" se ha mencionado en diversas investigaciones (Arguelhes & Hartmann, 2017; Kosicki, 1993; Roessler, 1999), Yi y Wang (2022) la definen como una escala jerárquica del valor que se les da a los problemas particulares, que incluye tanto los problemas internos como los relacionados con otras personas.
Esto significa que cada persona tiene una clasificación personal de problemas y no se puede hacer un promedio general, por lo que cada individuo determina cuál es el problema más importante que debería desarrollarse en los medios independientemente de si está de acuerdo con lo que opinan amigos y familiares (Yi & Wang, 2022). Las teorías presentadas tienen como finalidad estudiar el comportamiento de las audiencias en función del consumo y confianza hacia los medios de comunicación.
Por consiguiente, se plantea la pregunta de investigación: ¿existe relación entre las características sociodemográficas, como la edad y el género, con el consumo y la confianza de los medios de comunicación en Perú? Para dar respuesta se orienta como objetivo principal: examinar la relación de las características sociodemográficas con el consumo y la confianza de los medios de comunicación en Perú. La hipótesis central propone que las variables sociodemográficas tienen una relación significativa con el consumo y la confianza en los medios de comunicación en Perú.
De manera específica se asumen las siguientes preguntas de investigación: ¿cuál es el nivel de consumo y confianza en los medios de comunicación en Perú?, ¿cuál es el nivel de consumo y confianza en los medios de comunicación por género en Perú?, ¿cuál es el nivel de consumo y confianza en los medios de comunicación en Perú por edad? y ¿cuál es el nivel de consumo y confianza en los medios de comunicación por nivel de escolaridad en Perú?
De estos interrogantes se desprenden las siguientes hipótesis específicas: el nivel de consumo y confianza de manera general en Perú se encuentra en un nivel medio. Existen patrones similares de consumo de medios de comunicación entre hombres y mujeres. Los ciudadanos jóvenes presentan mayor consumo en medios digitales que tradicionales. Los individuos con nivel de educación secundaria evidencian un nivel alto de consumo de la mayoría de medios de comunicación.
Los resultados de este estudio no solo contribuirán al cuerpo académico existente, sino que también proporcionarán insights prácticos para mejorar la calidad y eficacia de los medios de comunicación en Perú.
El artículo tiene un enfoque cuantitativo, es una investigación básica y emplea un diseño descriptivo correlacional, el cual busca examinar la relación entre las características de carácter sociodemográficos, el consumo de medios y los niveles de confianza en la población peruana.
Con un enfoque cuantitativo, se utilizaron métodos estadísticos para analizar datos e investigar la interacción de diferentes factores (Wang et al., 2023). La investigación busca soluciones prácticas o sociales a los problemas, en lugar de perseguir preguntas teóricas abstractas (Cozby et al., 2012; Gast et al., 2023). Finalmente, el diseño correlacional permite examinar la relación entre la variable consumo, nivel de confianza en los medios de comunicación, edad y género de los ciudadanos de Perú.
La población que va a estudiar estuvo conformada por los 15 742 782 ciudadanos de edad entre 19 y 59 años de los 25 departamentos de Perú. El 51 % de los participantes fueron mujeres y el 49 %, hombres. Para determinar el tamaño de la muestra probabilística y representativa de la población, se usó la fórmula para poblaciones con un universo finito, considerando un 3,2 de margen de error; además, un nivel de confianza del 95 % y una heterogeneidad del 50 %. De esta manera, la muestra fue de 937 ciudadanos, compuesta por 456 hombres y 481 mujeres, estratificados de manera adecuada, tal como se aprecia en la figura 1.

Fuente: elaboración de los autores con base en los datos del Instituto Nacional de Estadística e Informática de Perú (2017).
La técnica de recopilación de datos fue una encuesta y el instrumento propuesto fue un cuestionario, el cual mediante Google Forms se administró después de recibir el consentimiento de cada participante. Los participantes en el estudio respondieron a 4 preguntas demográficas, a 8 sobre el consumo de los medios y a 8 sobre la confianza en los medios. La encuesta se realizó entre el 1° de mayo y el 23 de junio de 2023, y fue totalmente voluntaria.
En cuanto a la validez y confiabilidad del instrumento, no se especificó porque se empleó una herramienta validada y puesta a prueba en investigaciones anteriores. Se trata de un instrumento para medir el nivel de consumo y confianza en los medios de comunicación desarrollado por Pérez-Escoda et al. (2021).
Para el correcto procesamiento y análisis de la información obtenida, se aplicó el paquete estadístico SPSS versión 26. La escala de medición utilizada fue la escala de Likert, con valores que van desde 1 (nunca) hasta 5 (siempre). Antes de realizar cualquier análisis, se comprobó la normalidad de los datos haciendo una intervención de la prueba a través de Kolmogorov-Smirnov (Zhang & Wu, 2007), obteniendo una distribución no normal. Finalmente, se usó a Spearman a través del coeficiente de correlación para comprobar las hipótesis de investigación (Sverko et al., 2022).
A fin de asegurar que el estudio se lleve a cabo de forma consciente y respetuosa con los participantes, es crucial seguir los principios éticos de la investigación científica (Reyes, 2020). En el análisis se aplicaron los principios éticos de beneficencia, no maleficencia, autonomía y justicia. Para una mayor transparencia, se presenta un link de descarga en el que se puede obtener la base de datos y el cuestionario de recolección de datos: https://drive.google.com/drive/folders/1yRG7e-wv-aM3duSnhg-DBdlqiDasqNmg?usp=sharing
En la figura 2 se observa que en la mayoría de los departamentos peruanos existe un consumo medio de medios de comunicación, calificado con un valor de 3. No obstante, departamentos como Amazonas y Loreto destacan con un consumo alto, valorado en 4. Por otro lado, Junín y Madre de Dios tienen un consumo bajo, con un valor de 2. Respecto a la confianza en los medios, la mayoría de los departamentos peruanos muestran un nivel medio de confianza (3). Sin embargo, Junín presenta una confianza baja (2), mientras que Loreto, Madre de Dios y otros tienen una confianza alta (4).

Fuente: elaboración de los autores con base en los datos del Instituto Nacional de Estadística e Informática de Perú (2017).
La figura 3 ilustra que, en términos de patrones de consumo de medios, hombres y mujeres exhiben similitudes notables en todas las categorías evaluadas. Tanto la prensa digital como las páginas web y redes sociales son los medios más consumidos por ambos géneros, alcanzando un nivel de consumo alto (4). En contraste, periódicos y televisión tradicional presentan un nivel medio de consumo (3), mientras que la radio y la televisión online registran los niveles más bajos, cercanos a un nivel bajo (2). No se observan diferencias significativas en el consumo de medios entre hombres y mujeres. Además, en cuanto a la confianza en los medios, ambos géneros reportan un nivel medio de confianza (3) en todas las categorías, sin diferencias notables entre ellos.

Fuente: elaboración de los autores a partir de los datos recolectados en la investigación.
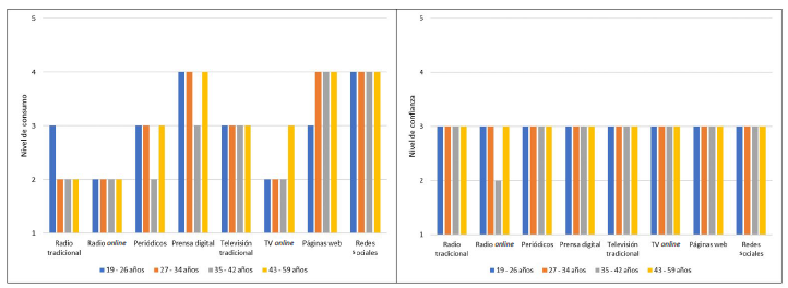
En la figura 4 se puede observar que el grupo de 19-26 años muestra el mayor consumo en prensa digital, con un nivel de consumo 'alto' (4). Este grupo también presenta un consumo 'medio' (3) en radio tradicional, periódicos, televisión tradicional y páginas web. Para el grupo de 27-34 años, se evidencia un patrón similar, con el mayor consumo en prensa digital y páginas web, pero con un nivel ligeramente menor en periódicos y televisión tradicional, indicando un nivel 'medio' (3). El grupo de 35-42 años destaca en el consumo de páginas web con un nivel 'alto' (4), mientras que prensa digital y televisión tradicional en un nivel 'medio' (3). Finalmente, el grupo de 43-59 años lidera el uso de prensa digital y páginas web con un nivel de consumo 'alto' (5), y revela un nivel 'medio' (3) en la mayoría de los otros medios.

Fuente: elaboración de los autores a partir de los datos recolectados en la investigación.
Así mismo, los individuos de todas las edades que abarcan desde los 19 hasta los 59 años muestran un nivel de confianza 'medio' (3) en casi todas las plataformas mediáticas. No obstante, aquellos individuos de 35 a 42 años asignan un menor nivel de confianza a la radio online, disminuyendo a un nivel 'bajo' (2).
En la figura 5 se refleja que todos los individuos con nivel de educación secundaria presentan el más alto nivel de consumo en la mayoría de las categorías de medios, destacándose particularmente en redes sociales, en las cuales alcanzan el nivel 'muy alto' (5). En contraste, aquellos con educación universitaria tienden a un consumo 'alto' (4) de prensa digital, páginas web y redes sociales. Para todos los niveles de educación observados, como secundaria, técnico superior y universitario, tanto la radio tradicional como la radio y la televisión online se sitúan en un nivel de consumo 'bajo' (2).

Fuente: elaboración de los autores a partir de los datos recolectados en la investigación.
Por otro lado, los individuos con niveles de educación que abarcan desde secundaria hasta universitaria exhiben un nivel de confianza 'medio' (3) en casi todas las plataformas mediáticas. No obstante, aquellos con educación secundaria asignan un mayor nivel de confianza a las páginas web, elevándose a un nivel 'alto' (4).
La tabla 1 expone los resultados de un estudio que incluyó a 937 participantes, destacando una correlación positiva moderada entre el consumo de medios y la confianza depositada en estos, con un coeficiente de correlación de 0,593 y un nivel de significancia estadística menor a 0,01. Este hallazgo sugiere que, a medida que aumenta el consumo de medios, también lo hace la confianza en ellos.
| Variables | Edad | Escolaridad | Consumo | Confianza |
|---|---|---|---|---|
| Edad | 1 | |||
| Escolaridad | - | 1 | ||
| Consumo | -0,007 p = 0,834 | -0,027 p = 0,416 | 1 | |
| Confianza | -0,040 p = 0,217 | 0,026 p = 0,427 | 0,593 p = 0,000** | 1 |
Por otro lado, el estudio revela que la edad no tiene una relación significativa con el consumo de medios, como se demuestra mediante un coeficiente de Spearman de -0,007 y un valor p de 0,834. Similarmente, la conexión entre la edad y la confianza en los medios no es significativa, presentando un coeficiente de -0,040 y un valor p de 0,217. Esto apunta a que, dentro de este estudio, la edad de los participantes no afecta de manera apreciable ni su consumo ni su confianza en los medios.
Adicionalmente, los datos resaltan que el nivel de escolaridad de los individuos no se correlaciona de forma significativa con el consumo de medios (r = -0,027, p = 0,416) ni con la confianza en estos (r = 0,026, p = 0,427). Esto quiere decir que el nivel de educación de los participantes no se asocia de modo significativo con cómo consumen los medios ni con el grado de confianza que tienen en la información que reciben a través de ellos.
En Perú, el consumo de medios está experimentando un cambio significativo hacia un equilibrio, con una preferencia por los digitales, evidenciado por un consumo medio generalizado en la mayoría de los departamentos, lo que sugiere un acceso y uso uniforme de los medios. Esta tendencia está impulsada por el aumento del internet, que ha transformado los hábitos de consumo (Babutsidze et al., 2023; Barredo et al., 2018; Boursier et al., 2020; Casero-Ripollés, 2020). Las variaciones regionales en el consumo pueden deberse a diferencias en infraestructura, urbanización, servicios mediáticos y preferencias culturales.
Dentro de este escenario, teorías clave de la comunicación como la agenda setting y el cultivo adquieren una relevancia particular. La agenda setting revela cómo los medios, tanto digitales como tradicionales, determinan temas de interés público, estableciendo una correlación significativa entre los contenidos mediáticos y las preocupaciones de la población.
Esto resalta el rol de los medios en la configuración de la opinión pública y su influencia en la percepción de problemas clave. Simultáneamente, la teoría del cultivo sugiere que la representación de problemas y grupos sociales por parte de los medios está moldeando una realidad percibida de manera uniforme a lo largo del país, lo que se alinea con la popularidad creciente de los medios digitales entre diversos grupos demográficos.
Por otro lado, la teoría de la espiral del silencio y la conceptualización de la "agenda individual" ofrecen perspectivas adicionales sobre la interacción entre los medios y la audiencia peruana. La espiral del silencio apunta al temor a la exclusión social como una posible causa de la moderada confianza en los medios, destacando el impacto de los entornos digitales en la expresión de opiniones disidentes.
La "agenda individual", por su parte, enfatiza la diversificación en las preferencias de consumo mediático y la formación de opiniones a través de la exposición a diferentes fuentes de información, resaltando cómo los peruanos están formando sus propias prioridades temáticas determinadas por una mezcla compleja de influencias mediáticas y personales. Juntas, estas teorías ilustran una comprensión profunda de cómo el consumo de medios y la confianza en estos se configuran en el Perú moderno, reflejando un equilibrio entre la adopción tecnológica y las dinámicas culturales.
La tendencia hacia la homogeneización en el uso de medios indica una sociedad en equilibrio en términos de adopción de tecnologías de información y comunicación, alineándose con la perspectiva de Lo et al. (2013) sobre los medios como facilitadores de conocimiento. Existe una conexión entre los patrones de consumo de medios y las variables demográficas y educativas, con hombres y mujeres mostrando patrones similares, lo que sugiere una cultura mediática inclusiva (Monteagudo et al., 2017). Los medios digitales, como la prensa en línea y las redes sociales, son populares entre varios grupos demográficos, con los jóvenes y las personas de mediana edad evidenciando una alta preferencia por la prensa digital.
En cuanto a la educación, quienes tienen estudios secundarios prefieren las redes sociales, mientras que los individuos con educación universitaria optan por medios digitales más formales (Del Rosario, 2019). A pesar de la popularidad de los medios digitales, la radio y televisión tradicionales mantienen un consumo bajo, subrayando una preferencia por medios más interactivos y controlados por el usuario. Este patrón refleja una transición hacia formas digitales de consumo mediático, aunque con una convergencia notable en los patrones de consumo.
Es importante considerar las consecuencias negativas del consumo de medios, como problemas de salud relacionados con la exposición a pantallas (Forero, 2022) y adicciones a internet y redes sociales (Monteiro et al., 2023; Abjaude et al., 2020). Además, la percepción negativa de la televisión en Perú (Concortv, 2023) sugiere la necesidad de un enfoque crítico hacia los contenidos mediáticos. Aunque los medios digitales están en auge, los medios tradicionales siguen siendo relevantes, con variaciones regionales significativas que reflejan la complejidad del panorama mediático en Perú.
Sobre la confianza hacia los medios de comunicación, Perú se identifica por tener una compleja interacción entre la población y las fuentes de información, caracterizada por una tendencia a una confianza moderada en la mayoría de los medios. Esta actitud equilibrada, como sugiere el estudio, señala un ejercicio de juicio crítico y reflexivo por parte de los ciudadanos peruanos (Serrano-Puche, 2017; Moreno et al., 2024). La variabilidad en la confianza hacia los medios podría estar influenciada por factores regionales, tecnológicos y culturales, dando cuenta de que, a pesar de la transición hacia lo digital, los medios tradicionales conservan una credibilidad considerable.
La confianza se ve afectada por el modo en que se percibe la credibilidad, fiabilidad y objetividad de la información proporcionada por los medios (Ramonet, 2013). La libertad y neutralidad de los medios, junto con la pluralidad de fuentes, son esenciales para ser vistos como creíbles y actuar como contrapesos frente a los discursos institucionales. Sin embargo, la concentración de medios y la falta de regulación adecuada generan preocupaciones sobre la diversidad y autonomía informativa en Perú (Mejía et al., 2020; Mani & Echeverría, 2019).
Esta situación es crucial, ya que la confianza en los medios está estrechamente vinculada a la confianza política, influenciando la percepción del público hacia entidades y figuras políticas (Mani & Echeverría, 2019). Los medios escritos, en comparación con las transmisiones televisivas o radiales, tienden a ser más efectivos en incrementar la confianza. Zeta Quinde (2022) resalta que la reputación y la percepción del público sobre un medio son cruciales para determinar el nivel de confianza y credibilidad otorgado.
Los patrones de confianza entre diferentes géneros, edades y niveles educativos se ubican en un nivel medio, sugiriendo un escepticismo prudente o una falta de diferenciación en la percepción de fiabilidad entre los distintos medios. Esta homogeneidad en la confianza podría indicar un público más consciente de las complejidades y desafíos de la información en la era digital (Vílchez & Palomino, 2023; Bianchini, 2018).
Sin embargo, se observan excepciones, como la baja confianza hacia la radio online entre individuos de 35 a 42 años, lo que podría deberse a brechas entre expectativas y percepciones, influenciadas por experiencias previas o preferencias por medios más establecidos. En el ámbito educativo, la alta confianza en páginas web entre aquellos con estudios secundarios refleja una dependencia o comodidad con este medio, posiblemente como recurso principal de información y aprendizaje (Feldvari et al., 2022).
Por otro lado, la relación entre el consumo de medios y la confianza en ellos revela una asociación positiva moderada. Esto denota que aquellos que consumen medios frecuentemente tienden a tener una mayor confianza en ellos. Tal fenómeno podría sugerir una dinámica de retroalimentación en la que la exposición regular a ciertos medios influye en la percepción de su credibilidad, y, al mismo tiempo, las personas se inclinan más hacia los medios en los que confían.
La significancia estadística de esta relación sugiere que no es una coincidencia, sino más bien una tendencia real entre la población estudiada. Esto es relevante para estrategias de comunicación y marketing, ya que implica que el consumo de medios está profundamente vinculado con la percepción de su confiabilidad.
No obstante, es importante recordar que correlación no implica causalidad. Estos datos no permiten inferir que el consumo de medios cause directamente una mayor confianza en ellos, o viceversa. Otras variables, como el tipo de medios consumidos, experiencias personales, influencias socioculturales o nivel educativo, podrían estar influyendo en ambas variables.
Esta correlación también invita a diversas interpretaciones cualitativas. Por ejemplo, podría ser que personas escépticas consuman una variedad de medios en busca de información confiable, pero no necesariamente desarrollen mayor confianza en un medio particular. Igualmente, es posible que aquellos con alta confianza en los medios tiendan a consumir más, probablemente debido a una confirmación de sus opiniones y creencias.
Por lo tanto, el estudio señala una conexión significativa entre cómo las personas seleccionan y valoran sus fuentes de información. Comprender esta relación es crucial para los creadores de contenido, educadores y forma-dores de opinión, a fin de abordar cómo el consumo de información afecta a la sociedad.
En cuanto a la relación entre la edad y el consumo de medios, así como la confianza en ellos, los coeficientes indican relaciones débiles y no significativas. El coeficiente cercano a cero para la relación entre la edad y el consumo de medios arguye que la edad no es un predictor fuerte del consumo de medios en esta muestra. Esto podría interpretarse como que diferentes grupos de edad consumen medios en proporciones similares.
La relación igualmente débil entre la edad y la confianza en los medios alude a que no hay una influencia clara de la edad en la confianza en los medios. Aunque la correlación es ligeramente negativa, la falta de significancia estadística implica que cualquier patrón percibido podría no ser generalizable.
En términos cualitativos, estos resultados podrían reflejar un panorama mediático en el que el acceso y el consumo de medios son amplios y adoptados por todas las edades. La confianza en los medios podría estar influenciada más por otros factores que no están directamente relacionados con la edad.
Estas interpretaciones deben tomarse con cautela, dado que la falta de significancia estadística sugiere que los patrones observados en la muestra podrían no aplicarse a una población más amplia. La relación de la edad con el consumo y la confianza en los medios puede ser más compleja y requerir un análisis más detallado.
Por otro lado, no se encontró una relación significativa entre el nivel educativo y el consumo de medios, ni entre el nivel educativo y la confianza en los medios. El coeficiente de correlación de Spearman cercano a cero y los valores p altos apuntan a que la educación formal no está directamente asociada con el consumo o la confianza en los medios.
Desde una perspectiva cualitativa, esto podría interpretarse como que el nivel educativo no dicta necesariamente las preferencias de medios o el escepticismo crítico. En la era actual, con el acceso generalizado a diversos medios, personas de todos los niveles educativos pueden elegir entre una variedad de fuentes de información. Además, factores como la curiosidad personal, intereses específicos o el tiempo disponible para el consumo de medios podrían ser tan relevantes como la educación formal.
En cuanto a la confianza en los medios, la educación tampoco parece ser un factor determinante. Esto significa que la confianza no se basa únicamente en el nivel educativo, sino que puede estar más vinculada con aspectos como la afinidad ideológica, la credibilidad de fuentes específicas o la verificación personal de la información. Esto plantea que, independientemente del nivel educativo, las personas pueden desarrollar actitudes críticas hacia los medios basadas en experiencias personales o en la influencia de su entorno social y cultural.
Lo hallado difiere de lo expuesto por Ceron (2015), Fletcher y Park (2017), Flintham et al. (2018), Wagner y Boczkowski (2019), Giraldo-Luque et al. (2020), Boturoiu et al. (2021), Van Aelst et al. (2021) y Charilaou y Vijaykumar (2023), quienes han demostrado cómo la edad, el género, el nivel educativo y el lugar de origen se relacionan y pueden influir en la confianza y el consumo de medios. Esto podría interpretarse como que diferentes grupos de edad y niveles educativos consumen medios en proporciones similares, y que la confianza en los medios podría estar influenciada más por otros factores que no están directamente asociados con la edad o el nivel educativo, tales como la afinidad ideológica, la credibilidad de fuentes específicas o la verificación personal de la información.
Se concluye que existe una preferencia creciente por los medios digitales, especialmente entre los jóvenes y personas con educación secundaria, reflejando una adaptación a la era digital. A pesar de esto, medios convencionales como la televisión y la radio mantienen su relevancia en diversas regiones, resaltando la influencia de las preferencias culturales y la infraestructura en la adopción de tecnologías emergentes.
Se identifica una tendencia general a una confianza moderada en los medios, sugiriendo un equilibrio en la percepción pública entre escepticismo y credulidad. Esta actitud podría ser una respuesta a la sobrecarga informativa actual. La confianza varía según la edad y el entorno educativo, advirtiendo la influencia de la experiencia y la educación en la percepción de los medios.
Finalmente, se observa una correlación positiva moderada entre el consumo de medios y la confianza en ellos, aunque no directa, posiblemente afectada por la prevalencia de noticias falsas y la calidad de la información. La ausencia de una relación significativa entre la edad o el nivel educativo y la confianza o el consumo de medios sugiere que otros factores psicosociales o contextuales podrían ser más determinantes. Estos hallazgos abren caminos para futuras investigaciones sobre la relación entre demografía, interacción con los medios y percepción de su credibilidad.
1. Abjaude, S., Pereira, L., Zanetti, M., & Pereira, L. (2020). How do social media influence mental health? SMAD: Revista Eletrônica Saúde Mental Álcool e Drogas, 16(1), 1-3. http://pepsic.bvsalud.org/pdf/smad/v16n1/es_v16n1a01.pdf
S. Abjaude L. Pereira M. Zanetti L Pereira 2020How do social media influence mental health?SMAD: Revista Eletrônica Saúde Mental Álcool e Drogas16113http://pepsic.bvsalud.org/pdf/smad/v16n1/es_v16n1a01.pdf
2. Arguelhes, D. W., & Hartmann, I. A. (2017). Timing control without docket control: how individual justices shape the Brazilian Supreme Court's agenda. Journal of Law and Courts, 5, 105-140. https://doi.org/10.1086/690195
D. W. Arguelhes I. A Hartmann 2017Timing control without docket control: how individual justices shape the Brazilian Supreme Court's agendaJournal of Law and Courts5105140https://doi.org/10.1086/690195
3. Babutsidze, Z., Blankenberg, A., & Chai, A. (2023). The effect of traditional media consumption and internet use on environmental attitudes in Europe. Journal of Evolutionary Economics, 33, 309-340. https://doi.org/10.1007/s00191-023-00810-0
Z. Babutsidze A. Blankenberg A Chai 2023The effect of traditional media consumption and internet use on environmental attitudes in EuropeJournal of Evolutionary Economics33309340https://doi.org/10.1007/s00191-023-00810-0
4. Barredo Ibáñez, D., De la Garza Montemayor, D. J., & Días, D. L. (2018). The relationship between the consumption of digital media, participation and political efficacy: a study about young university students in Colombia. Revista Latina de Comunicacion Social, 73, 945-960. https://doi.org/10.4185/RLCS-2018-1290
D. Barredo Ibáñez D. J. De la Garza Montemayor D. L Días 2018The relationship between the consumption of digital media, participation and political efficacy: a study about young university students in ColombiaRevista Latina de Comunicacion Social73945960https://doi.org/10.4185/RLCS-2018-1290
5. Bianchini, G. E. (2018). Informados y confiados: el efecto del consumo de medios de comunicación tradicional y digital sobre la confianza de los chilenos en 2015. Revista Chilena de Derecho y Ciencia Política, 9(1), 208-235. https://derechoycienciapolitica.uct.cl/index.php/RDCp/article/download/125/200/1061
G. E Bianchini 2018Informados y confiados: el efecto del consumo de medios de comunicación tradicional y digital sobre la confianza de los chilenos en 2015Revista Chilena de Derecho y Ciencia Política91208235https://derechoycienciapolitica.uct.cl/index.php/RDCp/article/download/125/200/1061
6. Boursier, V., Gioia, F., Musetti, A., & Schimmenti, A. (2020). Facing loneliness and anxiety during the Covid-19 isolation: the role of excessive social media use in a sample of Italian adults. Frontiers in Psychiatry, 11. https://doi.org/10.3389/fpsyt.2020.586222
V. Boursier F. Gioia A. Musetti A Schimmenti 2020Facing loneliness and anxiety during the Covid-19 isolation: the role of excessive social media use in a sample of Italian adultsFrontiers in Psychiatry11https://doi.org/10.3389/fpsyt.2020.586222
7. Casero-Ripollés, A. (2020). Impact of Covid-19 on the media system: communicative and democratic consequences of news consumption during the outbreak. El Profesional de la Información, 29(2), e290223. https://doi.org/10.3145/epi.2020.mar.23
A Casero-Ripollés 2020Impact of Covid-19 on the media system: communicative and democratic consequences of news consumption during the outbreakEl Profesional de la Información292e290223https://doi.org/10.3145/epi.2020.mar.23
8. Ceron, A. (2015). Internet, news, and political trust: the difference between social media and online media outlets. Journal of Computer-Mediated Communication, 20(5), 487-503. https://doi.org/10.1111/jcc4.12129
A. Ceron 2015Internet, news, and political trust: the difference between social media and online media outletsJournal of Computer-Mediated Communication205487503https://doi.org/10.1111/jcc4.12129
9. Charilaou, L., & Vijaykumar, S. (2023). Influences of news and social media on food insecurity and hoarding behavior during the Covid-19 pandemic. Disaster Medicine and Public Health Preparedness, 17, E58. https://doi.org/10.1017/dmp.2021.315
L. Charilaou S Vijaykumar 2023Influences of news and social media on food insecurity and hoarding behavior during the Covid-19 pandemicDisaster Medicine and Public Health Preparedness17E58https://doi.org/10.1017/dmp.2021.315
10. Concortv. (2023). Estudio cuantitativo sobre consumo radial y televisivo - nacional. https://www.concortv.gob.pe/wp-content/uploads/2023/02/Informe-Final-Est.-Consumo-Radial-y-Televisivo-2022-Nacional-Ciudades.pdf
Concortv 2023Estudio cuantitativo sobre consumo radial y televisivo - nacionalhttps://www.concortv.gob.pe/wp-content/uploads/2023/02/Informe-Final-Est.-Consumo-Radial-y-Televisivo-2022-Nacional-Ciudades.pdf
11. Cozby, P. C., Bates, S., Krageloh, C., Lacherez, P., & Van Rooy, D. (2012). Methods in behavioral research. http://mololibrary.jblfmu.edu.ph/MethodsinBehaviorResearch(PaulCozby).pdf
P. C. Cozby S. Bates C. Krageloh P. Lacherez D Van Rooy 2012Methods in behavioral researchhttp://mololibrary.jblfmu.edu.ph/MethodsinBehaviorResearch(PaulCozby).pdf
12. De la Garza Montemayor, D. J., & Pineda Rasgado, X. M. (2023). Relationship between the use of social networks and mistrust of mass media among Mexican youth: a mixed-methods and NLP study. Social Sciences, 12(3). https://doi.org/10.3390/socsci12030179
D. J. De la Garza Montemayor X. M Pineda Rasgado 2023Relationship between the use of social networks and mistrust of mass media among Mexican youth: a mixed-methods and NLP studySocial Sciences123https://doi.org/10.3390/socsci12030179
13. Del Rosario, L. (2019). Democracia, esfera pública y medios de comunicación. Vivat Academia: Revista de Comunicación, 149, 25-44. https://www.vivatacademia.net/index.php/vivat/article/view/1164/1888
L Del Rosario 2019Democracia, esfera pública y medios de comunicaciónVivat Academia: Revista de Comunicación1492544https://www.vivatacademia.net/index.php/vivat/article/view/1164/1888
14. Feldvari, K., MicunoviC, M., & Badurina, B. (2022). Hakiranje krize demokracije. Vjesnik bibliotekara Hrvatske, 65(2), 23-48. https://hrcak.srce.hr/285505
K. Feldvari M. MicunoviC B Badurina 2022Hakiranje krize demokracijeVjesnik bibliotekara Hrvatske6522348https://hrcak.srce.hr/285505
15. Fletcher, R., & Park, S. (2017). The impact of trust in the news media on online news consumption and participation. Digital Journalism, 5(10), 1281-1299. https://doi.org/10.1080/21670811.2017.1279979
R. Fletcher S Park 2017The impact of trust in the news media on online news consumption and participationDigital Journalism51012811299https://doi.org/10.1080/21670811.2017.1279979
16. Flintham, M., Karner, C., Bachour, K., Creswick, H., Gupta, N., & Moran, S. (2018). Falling for fake news: investigating the consumption of news via social media [paper]. CHI '18: Proceedings of the 2018 CHI Conference on Human Factors in Computing Systems. https://doi.org/10.1145/3173574.317395
M. Flintham C. Karner K. Bachour H. Creswick N. Gupta S Moran 2018Falling for fake news: investigating the consumption of news via social media [paper]CHI '18: Proceedings of the 2018 CHI Conference on Human Factors in Computing Systemshttps://doi.org/10.1145/3173574.317395
17. Forero, O. (2022). Alteraciones en la salud visual y ocular por el uso de pantallas y dispositivos electrónicos en trabajadores de la IPS Proteger [trabajo de grado especialización]. Universidad ECCI. https://repositorio.ecci.edu.co/handle/001/2713
O Forero 2022Alteraciones en la salud visual y ocular por el uso de pantallas y dispositivos electrónicos en trabajadores de la IPS Protegertrabajo de grado especializaciónUniversidad ECCIhttps://repositorio.ecci.edu.co/handle/001/2713
18. Gast, R. K., Jones, D. R., Guraya, R., Garcia, J. S., & Karcher, D. M. (2023). Applied research note: internal organ colonization by Salmonella enteritidis in experimentally infected layer pullets after rearing in conventional cage or cage-free housing. Journal of Applied Poultry Research, 32(2). https://doi.org/10.1016/j.japr.2023.100334
R. K. Gast D. R. Jones R. Guraya J. S. Garcia D. M Karcher 2023Applied research note: internal organ colonization by Salmonella enteritidis in experimentally infected layer pullets after rearing in conventional cage or cage-free housingJournal of Applied Poultry Research322https://doi.org/10.1016/j.japr.2023.100334
19. Giraldo-Luque, S., Afanador, P. N. A., & Fernández-Rovira, C. (2020). The struggle for human attention: between the abuse of social media and digital wellbeing. Healthcare (Switzerland ), 8(4). https://doi.org/10.3390/healthcare8040497
S. Giraldo-Luque P. N. A. Afanador C Fernández-Rovira 2020The struggle for human attention: between the abuse of social media and digital wellbeingHealthcareSwitzerland84https://doi.org/10.3390/healthcare8040497
20. Harbin, M. B. (2023). Don't make my entertainment political!: social media responses to narratives of racial duty on competitive reality television series. Political Communication, 40(4), 464-483. https://doi.org/10.1080/10584609.2023.2195365
M. B Harbin 2023Don't make my entertainment political!: social media responses to narratives of racial duty on competitive reality television seriesPolitical Communication404464483https://doi.org/10.1080/10584609.2023.2195365
21. Kosicki, G. M. (1993). Problems and opportunities in agenda-setting research. Journal of Communication, 43(2), 100-127. https://doi.org/10.1111/j.1460-2466.1993.tb01265.x
G. M Kosicki 1993Problems and opportunities in agenda-setting researchJournal of Communication432100127https://doi.org/10.1111/j.1460-2466.1993.tb01265.x
22. Laor, T., & Lissitsa, S. (2022). Mainstream, on-demand and social media consumption and trust in government handling of the Covid crisis. Online Information Review, 46(7), 1335-1352. https://doi.org/10.1108/OIR-06-2021-0299
T. Laor S Lissitsa 2022Mainstream, on-demand and social media consumption and trust in government handling of the Covid crisisOnline Information Review46713351352https://doi.org/10.1108/OIR-06-2021-0299
23. Lo, V., Wei, R., & Su, H. (2013). Self-efficacy, information-processing strategies, and acquisition of health knowledge. Asian Journal of Communication, 23(1), 54-67. https://doi.org/10.1080/01292986.2012.725175
V. Lo R. Wei H Su 2013Self-efficacy, information-processing strategies, and acquisition of health knowledgeAsian Journal of Communication2315467https://doi.org/10.1080/01292986.2012.725175
24. Lyu, H., Fan, Y., Xiong, Z., Komisarchik, M., & Luo, J. (2023). Understanding public opinion toward the #StopAsianHate movement and the relation with racially motivated hate crimes in the us. IEEE Transactions on Computational Social Systems, 10(1), 335-346. https://doi.org/10.1109/TCSS.2021.3136858
H. Lyu Y. Fan Z. Xiong M. Komisarchik J Luo 2023Understanding public opinion toward the #StopAsianHate movement and the relation with racially motivated hate crimes in the usIEEE Transactions on Computational Social Systems101335346https://doi.org/10.1109/TCSS.2021.3136858
25. Mani, E., & Echeverría, M. (2019). Confianza política y medios de comunicación: teoría, hallazgos y metodologías. Revista de Comunicación Política, 1(1). https://doi.org/10.29105/rcp1-3
E. Mani M Echeverría 2019Confianza política y medios de comunicación: teoría, hallazgos y metodologíasRevista de Comunicación Política11https://doi.org/10.29105/rcp1-3
26. McCombs, M. E., & Shaw, D. L. (1972). The agenda-setting function of mass media. Public Opinion Quarterly, 36(2), 176-187. https://doi.org/10.1086/267990
M. E. McCombs D. L Shaw 1972The agenda-setting function of mass mediaPublic Opinion Quarterly362176187https://doi.org/10.1086/267990
27. Mejía, C. R., Rodríguez-Alarcón, J. F., Garay-Ríos, L., Enríquez-Anco, M. D. G., Moreno, A., Huaytan-Rojas, K., Huancahuari-Ñañacc Huari, N., Julca-Gonzales, A., Álvarez, C. H., Choque-Vargas, J., & Curioso, W. H. (2020). Percepción de miedo o exageración que transmiten los medios de comunicación en la población peruana durante la pandemia de la Covid-19. Revista Cubana de Investigaciones Biomédicas, 39(2). http://scielo.sld.cu/pdf/ibi/v39n2/1561-3011-ibi-39-02-e698.pdf
C. R. Mejía J. F. Rodríguez-Alarcón L. Garay-Ríos M. D. G. Enríquez-Anco A. Moreno K. Huaytan-Rojas N. Huancahuari-Ñañacc Huari A. Julca-Gonzales C. H. Álvarez J. Choque-Vargas W. H Curioso 2020Percepción de miedo o exageración que transmiten los medios de comunicación en la población peruana durante la pandemia de la Covid-19Revista Cubana de Investigaciones Biomédicas392http://scielo.sld.cu/pdf/ibi/v39n2/1561-3011-ibi-39-02-e698.pdf
28. Monteagudo, M., Ahedo, R., & Ponce, A. (2017). Los beneficios del ocio juvenil y su contribución al desarrollo humano. UBETS: Revista de Ciencias Sociales, 12(Extra 1), 177-202. https://dialnet.unirioja.es/descarga/articulo/7102717.pdf
M. Monteagudo R. Ahedo A Ponce 2017Los beneficios del ocio juvenil y su contribución al desarrollo humanoUBETS: Revista de Ciencias Sociales12177202https://dialnet.unirioja.es/descarga/articulo/7102717.pdf
29. Monteiro, A., Sousa, M., & Correia, E. (2023). Internet addiction: relationship with anxiety, depression, stress and time online. CES Psicologia, 16(1), 45-61. https://revistas.ces.edu.co/index.php/psicologia/ article/view/6255/3761
A. Monteiro M. Sousa E Correia 2023Internet addiction: relationship with anxiety, depression, stress and time onlineCES Psicologia1614561https://revistas.ces.edu.co/index.php/psicologia/ article/view/6255/3761
30. Moreno Cabanillas, A., Castillo España, A., & Castillero Ostio, E. (2024). Lobbying y medios de comunicación: análisis de la cobertura periodística de los lobbies en España. Revista Latina de Comunicación Social, 82, 1-17. https://doi.org/10.4185/rlcs-2024-2059
A. Moreno Cabanillas A. Castillo España E Castillero Ostio 2024Lobbying y medios de comunicación: análisis de la cobertura periodística de los lobbies en EspañaRevista Latina de Comunicación Social82117https://doi.org/10.4185/rlcs-2024-2059
31. Noelle-Neumann, E. (1974). The spiral of silence a theory of public opinion. Journal of Communication, 24(2), 43-51. https://onlinelibrary.wiley.com/doi/abs/10.1111/j.1460-2466.1974.tb00367.x
E Noelle-Neumann 1974The spiral of silence a theory of public opinionJournal of Communication2424351https://onlinelibrary.wiley.com/doi/abs/10.1111/j.1460-2466.1974.tb00367.x
32. Pérez-Escoda, A., Barón-Dulce, G., & Rubio-Romero, J. (2021). Mapeo del consumo de medios en los jóvenes: redes sociales, 'fakes news' y confianza en tiempos de pandemia. Index. Comunicación, 11(2), 187-208. https://doi.org/10.33732/ixc/11/02Mapeod
A. Pérez-Escoda G. Barón-Dulce J Rubio-Romero 2021Mapeo del consumo de medios en los jóvenes: redes sociales, 'fakes news' y confianza en tiempos de pandemiaIndex. Comunicación112187208https://doi.org/10.33732/ixc/11/02Mapeod
33. Ramonet, I. (2013). Medios de comunicación: ¿un poder al servicio de intereses privados? En D. de Moraes, I. Ramonet & P. Serrano, Medios, poder y contrapoder: de la concentración monopólica a la democratización de la información (pp. 47-67). Biblos.
I Ramonet 2013Medios de comunicación: ¿un poder al servicio de intereses privados? D. de Moraes I Ramonet P Serrano Medios, poder y contrapoder: de la concentración monopólica a la democratización de la información4767Biblos
34. Ramos Ruiz, Á. (2023). The image of the European Union and the United Kingdom in the Brexit media discourse: a study of the lexicon used by the Spanish press. Visual Culture Review, 10. https://doi.org/10.37467/revvisual.v10.4601
Á Ramos Ruiz 2023The image of the European Union and the United Kingdom in the Brexit media discourse: a study of the lexicon used by the Spanish pressVisual Culture Review10https://doi.org/10.37467/revvisual.v10.4601
35. Reyes, M. (2020). Research in the time of Covid-19: challenges of research ethics committees. Journal of the ASEAN Federation of Endocrine Societies, 35(1), 29-32. https://doi.org/10.15605/jafes.035.01.07
M Reyes 2020Research in the time of Covid-19: challenges of research ethics committeesJournal of the ASEAN Federation of Endocrine Societies3512932https://doi.org/10.15605/jafes.035.01.07
36. Roessler, P. (1999). The individual agenda-designing process: how interpersonal communication, egocentric networks, and mass media shape the perception of political issues by individuals. Communication Research, 26(6), 666-700. https://doi.org/10.1177/009365099026006002
P Roessler 1999The individual agenda-designing process: how interpersonal communication, egocentric networks, and mass media shape the perception of political issues by individualsCommunication Research266666700https://doi.org/10.1177/009365099026006002
37. Serrano-Puche, J. (2017). Credibilidad y confianza en los medios de comunicación: un panorama de la situación en España. En M. González & M. Valderrama (Coords.), Discursos comunicativos persuasivos hoy (pp. 427-438). Tecnos. https://www.academia.edu/download/55580425/Preprint_sERRANo_pucHE._La_confianza_en_los_medios_de_comunicacion_en_Espana.pdf
J Serrano-Puche 2017Credibilidad y confianza en los medios de comunicación: un panorama de la situación en España M González M Valderrama Discursos comunicativos persuasivos hoy427438Tecnoshttps://www.academia.edu/download/55580425/Preprint_sERRANo_pucHE._La_confianza_en_los_medios_de_comunicacion_en_Espana.pdf
38. Sverko, Z., Vrankic, M., Vlahinic, S., & Rogelj, P. (2022). Complex pearson correlation coefficient for EEG connectivity analysis. Sensors, 22(4). https://doi.org/10.3390/s22041477
Z. Sverko M. Vrankic S. Vlahinic P Rogelj 2022Complex pearson correlation coefficient for EEG connectivity analysisSensors224https://doi.org/10.3390/s22041477
39. Van Aelst, P., Toth, F., Castro, L., Stëtka, V., Vreese, C. D., Aalberg, T., Cardenal, A., Corbu, N., Esser, F., Hopmann, D., Koc-Michalska, K., Matthes, J., Schemer, C., Sheafer, T., Splendore, S., Stanyer, J., Stçpinska, A., Strömbäck, J., & Theocharis, Y. (2021). Does a crisis change news habits?: a comparative study of the effects of Covid-19 on news media use in 17 European countries. Digital Journalism, 9(9), 1316-1346. https://doi.org/10.1080/21670811.2021.1943481
P. Van Aelst F. Toth L. Castro V. Stëtka C. D. Vreese T. Aalberg A. Cardenal N. Corbu F. Esser D. Hopmann K. Koc-Michalska J. Matthes C. Schemer T. Sheafer S. Splendore J. Stanyer A. Stçpinska J. Strömbäck Y Theocharis 2021Does a crisis change news habits?: a comparative study of the effects of Covid-19 on news media use in 17 European countriesDigital Journalism9913161346https://doi.org/10.1080/21670811.2021.1943481
40. Vílchez, P., & Palomino, L. (2023). La oferta informativa de los medios de comunicación del Perú en periodos electorales y su rol en el fortalecimiento de la democracia: análisis de caso. Contratexto, 39(39), 287-306. https://revistas.ulima.edu.pe/index.php/contratexto/article/view/5714/6179
P. Vílchez L Palomino 2023La oferta informativa de los medios de comunicación del Perú en periodos electorales y su rol en el fortalecimiento de la democracia: análisis de casoContratexto3939287306https://revistas.ulima.edu.pe/index.php/contratexto/article/view/5714/6179
41. Wagner, M. C., & Boczkowski, P. J. (2019). The reception of fake news: the interpretations and practices that shape the consumption of perceived misinformation. Digital Journalism, 7(7), 870-885. https://doi.org/10.1080/21670811.2019.1653208
M. C. Wagner P. J Boczkowski 2019The reception of fake news: the interpretations and practices that shape the consumption of perceived misinformationDigital Journalism77870885https://doi.org/10.1080/21670811.2019.1653208
42. Wang, K., Joshi, Y., Chen, H., & Schmitz, G. (2023). Quantitative investigation of the cycling behavior and SEI formation of tin through time-resolved microgravimetry. Journal of Power Sources, 569. https://doi.org/10.1016/j.jpowsour.2023.232919
K. Wang Y. Joshi H. Chen G Schmitz 2023Quantitative investigation of the cycling behavior and SEI formation of tin through time-resolved microgravimetryJournal of Power Sources569https://doi.org/10.1016/j.jpowsour.2023.232919
43. Yi, H., & Wang, Y. (2022). Who is affecting who: the new changes of personal influence in the social media era. Frontiers in Psychology, 13. https://doi.org/10.3389/fpsyg.2022.899778
H. Yi Y Wang 2022Who is affecting who: the new changes of personal influence in the social media eraFrontiers in Psychology13https://doi.org/10.3389/fpsyg.2022.899778
44. Zeta, R. (2002). Los medios de comunicación en el Perú. Revista de Comunicación, 1(1), 67-95. https://revistadecomunicacion.com/pdf/2002/Art067-95.pdf
R Zeta 2002Los medios de comunicación en el PerúRevista de Comunicación116795https://revistadecomunicacion.com/pdf/2002/Art067-95.pdf
45. Zhang, J., & Wu, Y. (2007). k-sample tests based on the likelihood ratio. Computational Statistics and Data Analysis, 51(9), 4682-4691. https://doi.org/10.1016/j.csda.2006.08.029
J. Zhang Y Wu 2007k-sample tests based on the likelihood ratioComputational Statistics and Data Analysis51946824691https://doi.org/10.1016/j.csda.2006.08.029
[3] Rios Incio, F. A., Páez, Á., Lisboa Echeverre, G., & Gutiérrez Fernández, C. (2025). Medios de comunicación en Perú: análisis de la relación entre edad, nivel educativo, consumo y confianza en los medios. Anuario Electrónico de Estudios en Comunicación Social "Disertaciones", 18(1).https://doi.org/10.12804/revistas.urosario.edu.co/disertaciones/a.14036